SOLUTION: Find all degree solutions in the interval 0° &#8804; &#952; < 360°. If rounding is necessary, round to the nearest tenth of a degree. Use your graphing calculator to verify the sol

Algebra ->  Trigonometry-basics -> SOLUTION: Find all degree solutions in the interval 0° &#8804; &#952; < 360°. If rounding is necessary, round to the nearest tenth of a degree. Use your graphing calculator to verify the sol      Log On


   



Question 1016305: Find all degree solutions in the interval 0° ≤ θ < 360°. If rounding is necessary, round to the nearest tenth of a degree. Use your graphing calculator to verify the solution graphically. (Enter your answers as a comma-separated list.)
8 cos(theta) + 10 tan(theta) = sec(theta)

Answer by ikleyn(52835) About Me  (Show Source):
You can put this solution on YOUR website!
.
Find all degree solutions in the interval 0° ≤ θ < 360°. If rounding is necessary, round to the nearest tenth of a degree.
Use your graphing calculator to verify the solution graphically. (Enter your answers as a comma-separated list.)
--------------------------------------------------------------------

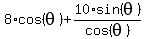
8%2Acos%28theta%29+%2B+10%2Atan%28theta%29 = sec%28theta%29,

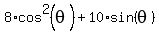
8%2Acos%28theta%29+%2B+10%2Asin%28theta%29%2Fcos%28theta%29 = 1%2Fcos%28theta%29,    <----- multiply both sides by cos%28theta%29. You will get

8%2Acos%5E2%28theta%29+%2B+10%2Asin%28theta%29 = 1,       <-----  replace cos%5E2%28theta%29  by  %281-sin%5E2%28theta%29%29

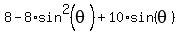
8%2A%281-sin%5E2%28theta%29%29+%2B+10%2Asin%28theta%29 = 1,

8+-+8%2Asin%5E2%28theta%29+%2B+10%2Asin%28theta%29 = 1,

8%2Asin%5E2%28theta%29+-+10%2Asin%28theta%29+-7 = 0.

Now introduce new variable x = sin%28theta%29 for brevity. Then the last equation takes the form

8x%5E2++-+10x+-7 = 0.

Solve this quadratic equation using the quadratic formula. You will get the roots

x%5B1%5D = 7%2F4 and x%5B2%5D = -1%2F2.

First root doesn't fit, since it is greater than 1. 
Only the root x = -1%2F2 fits.

Thus sin%28theta%29 = -1%2F2.

Hence, theta = 210° or theta = 330°.

Answer. theta = 210° or theta = 330°.