SOLUTION: Please help me with this item. f(x) = 3x ^-1 g(x) = 2x-7 h(x) =(x+4)/3 What is h(f(x)) I don't quite get the book answer of 1/x+4/3 Thank you in advance.

Algebra ->  Trigonometry-basics -> SOLUTION: Please help me with this item. f(x) = 3x ^-1 g(x) = 2x-7 h(x) =(x+4)/3 What is h(f(x)) I don't quite get the book answer of 1/x+4/3 Thank you in advance.       Log On


   



Question 1012131: Please help me with this item.
f(x) = 3x ^-1
g(x) = 2x-7
h(x) =(x+4)/3
What is h(f(x))
I don't quite get the book answer of 1/x+4/3
Thank you in advance.

Found 2 solutions by Boreal, MathTherapy:
Answer by Boreal(15235) About Me  (Show Source):
You can put this solution on YOUR website!
H (f(x))=(3x^-1)+4/3
That is 3*(1/x)/3+(4/3)
That is (1/x)+(4/3)

Answer by MathTherapy(10552) About Me  (Show Source):
You can put this solution on YOUR website!

Please help me with this item.
f(x) = 3x ^-1
g(x) = 2x-7
h(x) =(x+4)/3
What is h(f(x))
I don't quite get the book answer of 1/x+4/3
Thank you in advance.
f%28x%29+=+3x+%5E-1
g%28x%29+=+2x-7 (Not Relevant to this problem)
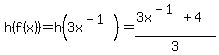
h%28x%29+=%28x+%2B+4%29%2F3
h%28f%28x%29%29+=+h%283x%5E%28-+1%29%29+=+%283x%5E%28-+1%29+%2B+4%29%2F3 ----> %283+%2A+%281%2Fx%29+%2B+4%29%2F3 ----> %283%2Fx+%2B+4%29%2F3 ----> %283%2Fx+%2B+4%29%22%F7%223%2F1 ------> %283+%2B+4x%29%2Fx%22%F7%223%2F1 -----> %283+%2B+4x%29%2Fx%22%2A%221%2F3 ------> %283+%2B+4x%29%2F%283x%29, or 3%2F%283x%29+%2B+4x%2F%283x%29, or highlight_green%281%2Fx+%2B+4%2F3%29