SOLUTION: I am trying to find the value of {{{ sec ( 11 pi / 4 ) }}} without using a calculator. To start, I know that the equation to find sec θ = ( 1 / cos ). I figure that {{{

Algebra ->  Trigonometry-basics -> SOLUTION: I am trying to find the value of {{{ sec ( 11 pi / 4 ) }}} without using a calculator. To start, I know that the equation to find sec θ = ( 1 / cos ). I figure that {{{       Log On


   



Question 1000033: I am trying to find the value of +sec+%28+11+pi+%2F+4+%29+ without using a calculator.
To start, I know that the equation to find sec θ = ( 1 / cos ).
I figure that +%28+11+pi+%2F+4+%29+ is equivalent to +%28+3+pi+%2F+4+%29+ on the unit circle. Which means that the cosine is +-+%28+sqrt+%28+2+%29+%2F+2+%29+.
I end up with 1 / +-+%28+sqrt+%28+2+%29+%2F+2+%29+%29+ but am not sure what the next step would be.
Do I just leave it at that? Or is there something else I do to further find the value? I'm not sure if I need to answer in degrees or radians. All my problem asks me to do is: "Find the following value without using a calculator."
I hope that made sense...I tried using the formula plotting but couldn't quite get it to completely format.
Thank you so much, in advance!! You guys are always so helpful!

Answer by jim_thompson5910(35256) About Me  (Show Source):
You can put this solution on YOUR website!
I would do these simplifications

1%2F%28-sqrt%282%29%2F2%29=%281%2F1%29%2F%28-sqrt%282%29%2F2%29

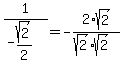
1%2F%28-sqrt%282%29%2F2%29=%281%2F1%29%2A%28-2%2Fsqrt%282%29%29

1%2F%28-sqrt%282%29%2F2%29=-2%2Fsqrt%282%29

1%2F%28-sqrt%282%29%2F2%29=%28-2%2Fsqrt%282%29%29%2A%28sqrt%282%29%2Fsqrt%282%29%29 Multiply the fraction by %28sqrt%282%29%2Fsqrt%282%29%29 to rationalize the denominator

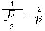
1%2F%28-sqrt%282%29%2F2%29=-2%2Asqrt%282%29%2F%28sqrt%282%29%2Asqrt%282%29%29

1%2F%28-sqrt%282%29%2F2%29=-2%2Asqrt%282%29%2F%282%29

1%2F%28-sqrt%282%29%2F2%29=-sqrt%282%29

-------------------------------------------------------

So in the end, sec+%28+11+pi+%2F+4+%29=-sqrt%282%29