SOLUTION: Find the length of the diagonal of a square each of whose sides is 10
Algebra
->
Triangles
-> SOLUTION: Find the length of the diagonal of a square each of whose sides is 10
Log On
Geometry: Triangles
Geometry
Solvers
Solvers
Lessons
Lessons
Answers archive
Answers
Click here to see ALL problems on Triangles
Question 954647
:
Find the length of the diagonal of a square each of whose sides is 10
Answer by
macston(5194)
(
Show Source
):
You can
put this solution on YOUR website!
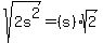
s=side=10; d=diagonal
=
=
ANSWER: The length of the diagonal is
.