SOLUTION: The length of a rectangle is 2 inches less than 2 times the width. The perimeter is 26 inches. Find the length and the width. My set up: 2-2x=26 Please help!

Algebra ->  Triangles -> SOLUTION: The length of a rectangle is 2 inches less than 2 times the width. The perimeter is 26 inches. Find the length and the width. My set up: 2-2x=26 Please help!       Log On


   



Question 948727: The length of a rectangle is 2 inches less than 2 times the width. The perimeter is 26 inches. Find the length and the width.
My set up: 2-2x=26
Please help!

Answer by josgarithmetic(39618) About Me  (Show Source):
You can put this solution on YOUR website!
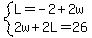
L for length
w for width
system%28L=-2%2B2w%2C2w%2B2L=26%29

Simplify the perimeter equation, substitute for L in the perimeter equation, and solve for the value of w.