SOLUTION: Solve the equation. 2x-5/x=x-3/2 Select the correct choice below and, if necessary, fill in the answer box to complete your choice.

Algebra ->  Triangles -> SOLUTION: Solve the equation. 2x-5/x=x-3/2 Select the correct choice below and, if necessary, fill in the answer box to complete your choice.      Log On


   



Question 889359: Solve the equation. 2x-5/x=x-3/2 Select the correct choice below and, if necessary, fill in the answer box to complete your choice.
Answer by Fombitz(32388) About Me  (Show Source):
You can put this solution on YOUR website!
2x-5%2Fx=x-3%2F2
Multiply both sides by x
2x%5E2-5=x%5E2-%283%2F2%29x
x%5E2%2B%283%2F2%29x-5=0
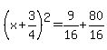
%28x%5E2%2B%283%2F2%29x%2B%283%2F4%29%5E2%29-5=%283%2F4%29%5E2
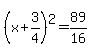
%28x%2B3%2F4%29%5E2=9%2F16%2B80%2F16
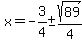
%28x%2B3%2F4%29%5E2=89%2F16
x%2B3%2F4=0+%2B-+sqrt%2889%29%2F4
x=-3%2F4+%2B-+sqrt%2889%29%2F4