SOLUTION: The perimeter of an isosceles right triangle is 24 cm. How long are its sides?

Algebra ->  Triangles -> SOLUTION: The perimeter of an isosceles right triangle is 24 cm. How long are its sides?      Log On


   



Question 885779: The perimeter of an isosceles right triangle is 24 cm. How long are its sides?
Answer by Alan3354(69443) About Me  (Show Source):
You can put this solution on YOUR website!
s+%2B+s+%2B+s%2Asqrt%282%29+=+24
s%2A%28sqrt%282%29+%2B+2%29+=+24
s+=+24%2F%28sqrt%282%29+%2B+2%29 the 2 legs
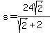
Hyp = s+=+24sqrt%282%29%2F%28sqrt%282%29+%2B+2%29
-------------
You can rationalize the values.