SOLUTION: Show that the triangle with vertices (-4,-3), (√27, -√48) and (4,3) is equilateral.

Algebra ->  Triangles -> SOLUTION: Show that the triangle with vertices (-4,-3), (√27, -√48) and (4,3) is equilateral.       Log On


   



Question 879410: Show that the triangle with vertices (-4,-3), (√27, -√48) and (4,3) is equilateral.
Answer by Edwin McCravy(20067) About Me  (Show Source):
You can put this solution on YOUR website!

We use the distance formula on all three sides to show
that all the sides have the same length.

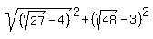
Distance from (-4,-3), (√27, -√48)

d%22%22=%22%22+sqrt%28+%28x%5B2%5D-x%5B1%5D%29%5E2+%2B+%28y%5B2%5D-y%5B1%5D%29%5E2%29 

d%22%22=%22%22+sqrt%28+%28%28sqrt%2827%29%29-%28-4%29%29%5E2+%2B+%28%28-sqrt%2848%29%29-%28-3%29%29%5E2%29 

d%22%22=%22%22+sqrt%28+%28sqrt%2827%29%2B4%29%29%5E2+%2B+%28-sqrt%2848%29%2B3%29%5E2%29

d%22%22=%22%22+sqrt%2827%2B8sqrt%2827%29%2B16+%2B+48-6sqrt%2848%29%2B9%29

d%22%22=%22%22+sqrt%28100+%2B+8sqrt%289%2A3%29-6sqrt%2816%2A3%29%29

d%22%22=%22%22+sqrt%28100+%2B+8%2A3sqrt%283%29-6%2A4sqrt%283%29%29

d%22%22=%22%22+sqrt%28100+%2B+24sqrt%283%29-24sqrt%283%29%29

d%22%22=%22%22+sqrt%28100%29

d%22%22=%22%2210

-------------------------------

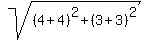
Distance from (-4,-3) to (4,3)

d%22%22=%22%22+sqrt%28+%28x%5B2%5D-x%5B1%5D%29%5E2+%2B+%28y%5B2%5D-y%5B1%5D%29%5E2%29 

d%22%22=%22%22+sqrt%28+%28%284%29-%28-4%29%29%5E2+%2B+%28%283%29-%28-3%29%29%5E2%29 

d%22%22=%22%22+sqrt%28+%284%2B4%29%5E2+%2B+%283%2B3%29%5E2%29

d%22%22=%22%22+sqrt%28+%288%29%5E2+%2B+%286%29%5E2%29

d%22%22=%22%22+sqrt%2864+%2B+36%29

d%22%22=%22%22+sqrt%28100%29

d%22%22=%22%2210

--------------------------------------

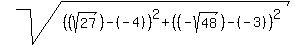
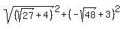
Distance from (4,3) to (√27, -√48)

d%22%22=%22%22+sqrt%28+%28x%5B2%5D-x%5B1%5D%29%5E2+%2B+%28y%5B2%5D-y%5B1%5D%29%5E2%29 

d%22%22=%22%22+sqrt%28+%28%28sqrt%2827%29%29-%284%29%29%5E2+%2B+%28%28-sqrt%2848%29%29-%283%29%29%5E2%29 

d%22%22=%22%22+sqrt%28+%28sqrt%2827%29-4%29%29%5E2+%2B+%28sqrt%2848%29-3%29%5E2%29

d%22%22=%22%22+sqrt%2827-8sqrt%2827%29%2B16+%2B+48%2B6sqrt%2848%29%2B9%29

d%22%22=%22%22+sqrt%28100+-+8sqrt%289%2A3%29%2B6sqrt%2816%2A3%29%29

d%22%22=%22%22+sqrt%28100+-+8%2A3sqrt%283%29%2B6%2A4sqrt%283%29%29

d%22%22=%22%22+sqrt%28100+-+24sqrt%283%29%2B24sqrt%283%29%29

d%22%22=%22%22+sqrt%28100%29

d%22%22=%22%2210

All three sides are equal to 10, so the triangle is equilateral.

Edwin