SOLUTION: I have a 30 60 90 triangle and in my class we are learning about the sides and the radicals. So in this problem the longer leg is 12. and we don't know what the short leg or the hy

Algebra ->  Triangles -> SOLUTION: I have a 30 60 90 triangle and in my class we are learning about the sides and the radicals. So in this problem the longer leg is 12. and we don't know what the short leg or the hy      Log On


   



Question 858520: I have a 30 60 90 triangle and in my class we are learning about the sides and the radicals. So in this problem the longer leg is 12. and we don't know what the short leg or the hypotenuse is. But that is what we want to know. All I know is 12 = x rad3
Answer by josmiceli(19441) About Me  (Show Source):
You can put this solution on YOUR website!
If the angles are 30-60-90 and the sides opposite
these angles are a, b, and c, then you know that
the sides are in these proportions:
a : +1+
b : +sqrt%283%29+
c: +2+
--------------
This checks out because:
+1%5E2+%2B+%28+sqrt%283%29+%29%5E2+=+2%5E2+
+1+%2B+3+=+4+
---------------
Once you put a value on one leg, the
other legs are known:
given:
+b+=+12+ ( longer leg )
+a%2Fb+=+1%2F%28sqrt%283%29+%29+
+a%2F12+=+1%2F%28sqrt%283%29+%29+
Multiply both sides by +12%2Asqrt%283%29+
+a%2Asqrt%283%29+=+12+
+a+=+12%2Fsqrt%283%29+
-------------------
That's the answer. You can check by
finding c
++a%2Fc+=+1%2F2+
+1%2F2+=+%28+12%2Fsqrt%283%29+%29+%2F+c+
+c+=+24%2Fsqrt%283%29+
--------------------
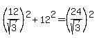
Does +a%5E2+%2B+b%5E2+=+c%5E2+?
+%28+12%2Fsqrt%283%29+%29%5E2+%2B+12%5E2+=+%28+24%2Fsqrt%283%29+%29%5E2+
+144%2F3+%2B+144+=+576%2F3+
+144+%2B+3%2A144+=+576+
+144+%2B+432+=+576+
+576+=+576+
OK