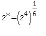
SOLUTION: 2^x = 16^1/6. solve for x
Algebra
->
Triangles
-> SOLUTION: 2^x = 16^1/6. solve for x
Log On
Geometry: Triangles
Geometry
Solvers
Solvers
Lessons
Lessons
Answers archive
Answers
Click here to see ALL problems on Triangles
Question 831800
:
2^x = 16^1/6. solve for x
Answer by
Fombitz(32388)
(
Show Source
):
You can
put this solution on YOUR website!