SOLUTION: find the length of the altitude of an equilateral triangle of side 3squareroot(3)

Algebra ->  Triangles -> SOLUTION: find the length of the altitude of an equilateral triangle of side 3squareroot(3)      Log On


   



Question 800745: find the length of the altitude of an equilateral triangle of side 3squareroot(3)
Answer by thepianist25(8) About Me  (Show Source):
You can put this solution on YOUR website!
An equilateral triangle has the same values for each side, and in Euclidean geometry, has the same degrees for each angle as well (60).
So, with the information given, we know that all sides are going to be 3sqrt%283%29
To find the altitude, we could draw a line perpendicular from the base of the triangle extending to the top point.
Since drawing a perpendicular line from the top point to the base will "cut" the length of the base in half (based on the fact that the triangle is equilateral), we can conclude that each half of the base will be %281%2F2%29%283sqrt%283%29%29 or 3sqrt%283%29%2F2 and we have also formed a right triangle.
With that information, we now have the values to solve a right triangle using the Pythagorean theorem:
Base (side): 3sqrt%283%29%2F2
Equilateral triangle side (hypotenuse): 3sqrt%283%29
Altitude (other side): b
a%5E2+%2B+b%5E2+=+c%5E2, where a and b are sides and c is the hypotenuse.
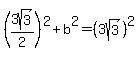
%283sqrt%283%29%2F2%29%5E2+%2B+b%5E2+=+%283sqrt%283%29%29%5E2
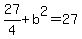
27%2F4+%2B+b%5E2+=+27
27%2F4+-+27%2F4+%2B+b%5E2+=+27+-+27%2F4 (subtraction axiom)
b%5E2+=+20.25
sqrt%28b%5E2%29+=+sqrt%2820.25%29
b+=+4.5

So, the altitude of the triangle is 4.5.