SOLUTION: The legs of a right triangle are 3 and 4 units long. Find the lengths, to the nearest tenth, of the segments into which the bisector of the right angle divides the hypotenuse

Algebra ->  Triangles -> SOLUTION: The legs of a right triangle are 3 and 4 units long. Find the lengths, to the nearest tenth, of the segments into which the bisector of the right angle divides the hypotenuse      Log On


   



Question 767178: The legs of a right triangle are 3 and 4 units long. Find the lengths, to the nearest tenth, of the segments into which the bisector of the right angle divides the hypotenuse
Answer by reviewermath(1029) About Me  (Show Source):
You can put this solution on YOUR website!
Q:
The legs of a right triangle are 3 and 4 units long. Find the lengths, to the nearest tenth, of the segments into which the bisector of the right angle divides the hypotenuse
-------------------------------------------------------------------------
A:

The equation of the bisector is y = x.
The equation of the hypotenuse is y+=+%28-4%2F3%29x+%2B+4.
Solving for the point of intersection of the bisector and hypotenuse:
x = %28-4%2F3%29x+%2B+4
%287%2F3%29x = 4
x = 12%2F7 = y
Therefore the point of intersection is (12%2F7,12%2F7).
Using distance formula:
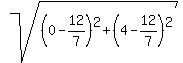
m = sqrt%28%280+-+12%2F7%29%5E2+%2B+%284-12%2F7%29%5E2+%29 ≈ 2.9
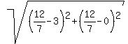
n = sqrt%28%2812%2F7+-+3+%29%5E2+%2B+%2812%2F7+-+0%29%5E2%29 ≈ 2.1
ANSWERS: highlight%282.9%29, highlight%282.1%29