SOLUTION: What is the length of the hypotenuse of the right triangle defined by the points (4, 2), (8, 2), and (8, 4)?

Algebra ->  Triangles -> SOLUTION: What is the length of the hypotenuse of the right triangle defined by the points (4, 2), (8, 2), and (8, 4)?      Log On


   



Question 730735: What is the length of the hypotenuse of the right triangle defined by the points (4, 2), (8, 2), and (8, 4)?
Answer by fcabanski(1391) About Me  (Show Source):
You can put this solution on YOUR website!
If you draw this triangle you'll see that the hypotenuse is the side between the points (8,4) and (4,2).


The length of the first leg is 4, the distance between (4,2) and (8,2).


The length of the second leg is 2, the distance between (8,2) and (8,4)


Pythagorean theorem shows the hypotenuse is: a%5E2+%2B+b%5E2+=+c%5E2+=+4%5E2+%2B+2%5E2+=+c%5E2+=+16%2B40+=+20


c, the hypotenuse = sqrt%2820%29+=+2%2Asqrt%285%29


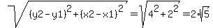
The distance formula gives the same answer. Find the distance between (4,2) and (8,4)


d = sqrt%28%28y2-y1%29%5E2+%2B+%28x2-x1%29%5E2%29+=+sqrt+%284%5E2+%2B+2%5E2%29+=+2%2Asqrt%285%29

Hope the solution helped. Sometimes you need more than a solution. Contact fcabanski@hotmail.com for online, private tutoring, or personalized problem solving (quick for groups of problems.)