SOLUTION: A piece of land with an area of 2400 sq.m is in the shape of a right triangle with the hypotenuse 100m long. Find the two legs.

Algebra ->  Triangles -> SOLUTION: A piece of land with an area of 2400 sq.m is in the shape of a right triangle with the hypotenuse 100m long. Find the two legs.      Log On


   



Question 681872: A piece of land with an area of 2400 sq.m is in the shape of a right triangle with the hypotenuse 100m long. Find the two legs.
Answer by Alan3354(69443) About Me  (Show Source):
You can put this solution on YOUR website!
A piece of land with an area of 2400 sq.m is in the shape of a right triangle with the hypotenuse 100m long. Find the two legs.
------------------
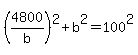
a*b/2 = 2400 --> a = 4800/b
a%5E2+%2B+b%5E2+=+100%5E2
Sub for a
%284800%2Fb%29%5E2+%2B+b%5E2+=+100%5E2
23040000+%2B+b%5E4+=+10000b%5E2
b%5E4+-+10000b%5E2+%2B+23040000+=+0
sub x for b^2
x%5E2+-+10000x+%2B+23040000+=+0
(x - 3600)*(x - 6400) = 0
x = 3600, 6400
--> b = 60, 80
Legs are 60 & 80 meters