SOLUTION: hello there, I'm having trouble finding the lengths of this triangle whose measurements are as follows:
short leg={{{x}}}
long leg={{{((1/2x)+11)}}}
hypotenuse={{{(2x+1)}}}
t
Algebra ->
Triangles
-> SOLUTION: hello there, I'm having trouble finding the lengths of this triangle whose measurements are as follows:
short leg={{{x}}}
long leg={{{((1/2x)+11)}}}
hypotenuse={{{(2x+1)}}}
t
Log On
Question 623408: hello there, I'm having trouble finding the lengths of this triangle whose measurements are as follows:
short leg=
long leg=
hypotenuse=
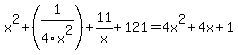
this is the work that I had done:
simplified:
written in standard form:
multiply everything by (11/4):
And now I'm stuck here, as you can see, there's no way I can factorize this, what have I done wrong?
Your help is very much appreciated. Answer by Alan3354(69443) (Show Source):
You can put this solution on YOUR website! hello there, I'm having trouble finding the lengths of this triangle whose measurements are as follows:
short leg=
long leg=
hypotenuse=
this is the work that I had done:
simplified: ***** 11^2 = 121, and 11/x
========================
Multiply by 4x^2 to eliminate the fraction
-------------------
Using graphical or numerical approximations,
x =~ 5.71342
That's the only real number solution.
You sure it's not (1/2)x + 11 for one leg?
=================
written in standard form:
multiply everything by (11/4):
And now I'm stuck here, as you can see, there's no way I can factorize this, what have I done wrong?
Your help is very much appreciated.