Question 530359: In my math class we are learning about classifying triangles. I m suppost to find the measure of triangle KPL , and classify it by its sides. the problem is K ( -3,2) P (2,1) L(-2,-3), and I don't know how to do this problem or work it out. Please give me instructions of what to do!!!
thanks, Alex
Answer by Earlsdon(6294) (Show Source):
You can put this solution on YOUR website! Well Alex, it would make sense to first graph the three given points on graph paper on which you have marked the x-axis and the y-axis. Be sure to label the three points with the appropriate letters K, L, and P.
This will at least give you a picture of the triangle.
Now you have a couple of options in classifying the triangle by its sides but basically, you need to find the length of each of the three sides and compare them to each other.
1) You could measure the sides of the triangle once you have drawn the graph.
2) You could find the lengths of the sides by using the distance formula.
where the x's and the y's are the end-points of the three sides of the triangle.
On your graph, point K will have the x-y coordinates of (-3,2), point L (-2,-3), and point P (2,1).
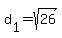
Let's call the distance between points K and L, , between K and P, , and between L and P, .
Let's start with .
Evaluate this.

Leave the answer in this form.
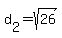
Now 
Evaluate this.


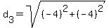
Now 
Evaluate.

Notice that both and are equal but is longer.
What kind of triangle has two equal sides?
If you guessed "Isosceles" you would be correct.
|
|
|