Question 475218: What is the area of an isosceles triangle with sides of 7, 7, and 12
Found 2 solutions by jim_thompson5910, robertb: Answer by jim_thompson5910(35256) (Show Source):
You can put this solution on YOUR website! For more help, check out this solver.
| Solved by pluggable solver: Hero's (or Heron's) Formula (Used to Find the Area of a Triangle Given its Three Sides) |
In order to find the area of a triangle 'A' with side lengths of 'a', 'b', and 'c', we can use Hero's Formula:
where S is the semiperimeter and it is defined by 
Note: "semi" means half. So the semiperimeter is half the perimeter.
So let's first calculate the semiperimeter S:
Start with the semiperimeter formula.
Plug in , , and .
Add.
Divide.
----------------------------------------
Now move onto Hero's Formula.
Plug in , , , and .
Subtract.
Multiply.
Take the square root of to get .
So the area of the triangle with side lengths of , , and is roughly square units.
|
For more help, check out this solver.
Answer by robertb(5830) (Show Source):
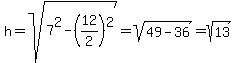
You can put this solution on YOUR website! Since it is an isosceles triangle, we can find its height by using half of the base side and the Pythagorean Theorem:
==> Area = .
|
|
|