SOLUTION: Find the given variables of x in triangle if 16 if the hypotenuse and 12 is the long leg. x if the short leg
Algebra
->
Triangles
-> SOLUTION: Find the given variables of x in triangle if 16 if the hypotenuse and 12 is the long leg. x if the short leg
Log On
Geometry: Triangles
Geometry
Solvers
Solvers
Lessons
Lessons
Answers archive
Answers
Click here to see ALL problems on Triangles
Question 432537
:
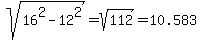
Find the given variables of x in triangle if 16 if the hypotenuse and 12 is the long leg. x if the short leg
Answer by
ewatrrr(24785)
(
Show Source
):
You can
put this solution on YOUR website!
Hi
hypotenuse = 16 and longest leg is 12.
Applying the Pythagorean Theorem
x =