Question 4061: use the formular for the area of a rectangle and the pythagorean Theorem to solve: A small television has a picture with a diagonal measure of 10 inches and a viewing area of 48 square inches. find the length and width. the width is y and the length is w. I know x times y = 48 square inches. y = 48 divided by x and I must be not setting up the equation. thought it was 2x + 2y = something????? x is 8 and y is 6 but I need step by step please.
Another question is this that I cannot work through.
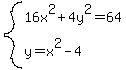
A planet's orbit follows a path described by 16x^2 + 4y^2 =64. A comet follows the parabolic path y=x^2 - 4. Where might the comet intersect the orbiting planet?
Hope you can help me ASAP
Answer by ichudov(507) (Show Source):
You can put this solution on YOUR website! please submit one problem at a time.
A planet's orbit follows a path described by 16x^2 + 4y^2 =64. A comet follows the parabolic path y=x^2 - 4. Where might the comet intersect the orbiting planet?
That's a nice one.
That they intersect means that there is a moment of time when their x and y positions, respectively, are the same. If they are both in the point (x, y), that means that
Let's use the second formula for y and substitute it into the first equation:
Use z for x^2:
Solved by pluggable solver: EXPLAIN simplification of an expression |
Your Result:
YOUR ANSWER
- This is an equation! Solutions: z=4,z=0.
- Graphical form: Equation
was fully solved. - Text form: 16z+4*(z-4)^2=64 simplifies to 0=0
- Cartoon (animation) form:
For tutors: simplify_cartoon( 16z+4*(z-4)^2=64 )
- If you have a website, here's a link to this solution.
|
DETAILED EXPLANATION
Look at . Moved these terms to the left  It becomes .
Look at . Equation is a quadratic equation: 4*z^2-16*z =0, and has solutions 4,0 It becomes . Result: 
This is an equation! Solutions: z=4,z=0.
Universal Simplifier and Solver
Done!
|
Solutions z=4, z=0 mean:
x^2=4, x^2 = 0, or
x=-4, 0, 4.
Use formula to calculate values of y, for every value of x.
|
|
|