SOLUTION: Find x. The sides of a right triangle are 8, 17, and 2x+1
Algebra
->
Triangles
-> SOLUTION: Find x. The sides of a right triangle are 8, 17, and 2x+1
Log On
Geometry: Triangles
Geometry
Solvers
Solvers
Lessons
Lessons
Answers archive
Answers
Click here to see ALL problems on Triangles
Question 281787
:
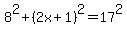
Find x.
The sides of a right triangle are 8, 17, and 2x+1
Answer by
jim_thompson5910(35256)
(
Show Source
):
You can
put this solution on YOUR website!
Hint: Use the pythagorean theorem
. In this case
,
and
giving us the equation
. I'll let you take it from here.