SOLUTION: Q.2:- Let ABC be a triangle in which AB=AC and let I be its in-centre. suppose BC=AB+AI.find the angle BAC?

Algebra ->  Triangles -> SOLUTION: Q.2:- Let ABC be a triangle in which AB=AC and let I be its in-centre. suppose BC=AB+AI.find the angle BAC?      Log On


   



Question 252016: Q.2:- Let ABC be a triangle in which AB=AC and let I be its in-centre. suppose BC=AB+AI.find the angle BAC?
Found 2 solutions by nyc_function, plastery:
Answer by nyc_function(2741) About Me  (Show Source):
You can put this solution on YOUR website!
We need to know the value of BC, AB and AI or else this cannot be done.

Answer by plastery(3) About Me  (Show Source):
You can put this solution on YOUR website!
The angle BAC that satisfies the relation BC=AB+AI is the right angle.
To get to this solution with some trigonometry, let's call x the angle BAC and l the lenght of AB..
As the triangle ABC is isosceles and the sum of the internal angles of any triangle is 2 right angles, then the angle ABC=ACB=%28PI-x%29%2F2=PI%2F2+-X%2F2.
Let me remind that the Incenter of a triangle can be found as the intersection of any two internal angle bisectors.
Let's call H the intersection of the bisector of BAC and BC.
AH is also the altitude relative to the base BC. So ABH is a right triangle (right in H).
For the definition of sine BH=BA%2Asin%28x%2F2%29=l+%2Asin%28x%2F2%29
For the Pythagorean theorem
The angle IBH is half of ABH that is IBH=ABC+%2F+2=+PI%2F4-x%2F4
For the definition of tangent IH=BH%2Atan%28IBH%29=l%2Asin%28x%2F2%29%2Atan%28PI%2F4-x%2F4%29
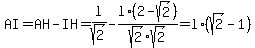
Finally AI=AH-IH=l%2Acos%28x%2F2%29-l%2Asin%28x%2F2%29%2Atan%28PI%2F4-x%2F4%29
Therefore, as BC=2%2ABH, the relation BC=AB%2BAI can be written 2%2Al+%2Asin%28x%2F2%29=l%2Bl%2Acos%28x%2F2%29-l%2Asin%28x%2F2%29%2Atan%28PI%2F4-x%2F4%29 and with some trivial passage
2%2Asin%28x%2F2%29=%281%2Bcos%28x%2F2%29-sin%28x%2F2%29%2Atan%28PI%2F4-x%2F4%29%29
Still Algebra:
sin%28x%2F2%29%2A%282%2Btan%28PI%2F4-x%2F4%29%29=1%2Bcos%28x%2F2%29
Now we apply the sum identity of the tangent to obtain:

Known that tan%28PI%2F4%29=1, we obtain:

Now let's apply the half angle formula for the tangent tan%28alpha%2F2%29=%281-cos%28alpha%29%29%2Fsin%28alpha%29

Again Algebra and provided that sin%28x%2F2%29%3C%3E0 i.e x%3C%3E0 we obtain:

then

and

and provided that %281%2Bsin%28x%2F2%29-cos%28x%2F2%29%29%3C%3E0

and

and

and

and
2%2Asin%5E2%28x%2F2%29-2%2Asin%28x%2F2%29%2Acos%28x%2F2%29%29=0
and
2%2Asin%28x%2F2%29%2A%28sin%28x%2F2%29-cos%28x%2F2%29%29=0
The first term cannot be zero for the previous condition, so the possible solution must satisfy:
sin%28x%2F2%29-cos%28x%2F2%29=0
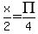
that happens when x%2F2=PI%2F4 i.e. x=PI%2F2.
The general solution would be x=2%2API%2An-3%2F2%2API with n any integer, but for the geometric nature of the problem we can rest on n=1.
Eventually we check the solution that is that in case of a right/isosceles triangle the relation BC=AB+AI is satisfied.
With the same notation above:
BC=sqrt%282%2Al%5E2%29=l%2Asqrt%282%29=l%2A%281%2B%28sqrt%282%29-1%29%29
BH is such that l%5E2=2%2ABH%5E2 therefore BH=l%2Fsqrt%282%29
As ABC=PI%2F2 then ABH=PI%2F4 and IBH=PI%2F8, then
But AH=BH=l%2Fsqrt%282%29 and
So AB%2BAI=l%2Bl%2A%28sqrt%282%29-1%29=l%2Asqrt%282%29 and BC=2%2ABH=2%2Al%2Fsqrt%282%29=l%2Asqrt%282%29
Quod Demonstrandum Erat