SOLUTION: Q.3: Given A(-1,4) and B (5,2),find (a) the point P on the x-axis such that AP=BP. (b) the point Q on the y-axis such that AQ=BQ

Algebra ->  Triangles -> SOLUTION: Q.3: Given A(-1,4) and B (5,2),find (a) the point P on the x-axis such that AP=BP. (b) the point Q on the y-axis such that AQ=BQ      Log On


   



Question 214198: Q.3: Given A(-1,4) and B (5,2),find
(a) the point P on the x-axis such that AP=BP.
(b) the point Q on the y-axis such that AQ=BQ

Answer by drj(1380) About Me  (Show Source):
You can put this solution on YOUR website!
Q.3: Given A(-1,4) and B (5,2),find

(a) the point P on the x-axis such that AP=BP.

(b) the point Q on the y-axis such that AQ=BQ

Step 1. For part 3(a), the point on the x-axis is y=0 for the coordinates. Let x be coordinate on the x-axis. Point P is (x,0). Then left side of the equation given below is the distance between points A(-1,4) and P(x,0) and the right side is the distances between B(5,2) and P(x,0).

sqrt%28%28x-%28-1%29%5E2%29%2B%280-4%29%5E2%29=sqrt%28%28x-5%29%5E2%2B%280-2%29%5E2%29

Squaring both sides yields:

%28x%2B1%29%5E2%2B16=%28x-5%29%5E2%2B4

cross%28x%5E2%29%2B2x%2B1%2B16=cross%28x%5E2%29-10x%2B25%2B4

2x%2B17=-10x%2B29

Add 10x-17 to both sides of the equation

2x%2B17%2B10x-17=-10x%2B29%2B10x-17

12x=12

Divide by 12 yields,

ANSWER: x=1 So our point is (1,0).

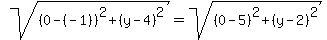
Step 2. For part 3(b), the point on the y-axis is x=0 for the coordinates. Let x be coordinate on the x-axis. Point Q is (0,y). The left side of the equation below the is distance between Q(0,y) and A(-1,4). The right side is the distance between Q(0,y) and B(5,2)

sqrt%28%280-%28-1%29%29%5E2%2B%28y-4%29%5E2%29=sqrt%28%280-5%29%5E2%2B%28y-2%29%5E2%29

Squaring both sides yields:

1%2B%28y-4%29%5E2=25%2B%28y-2%29%5E2

1%2Bcross%28y%5E2%29-8y%2B16=25%2Bcross%28y%5E2%29-4y%2B4

-8y%2B17=-4y%2B29

Add 8y-29 to both sides of the equation

-8y%2B17%2B8y-29=-4y%2B29%2B8y-29

-12=4y

Divide by 4 to both sides of the equation

ANSWER y=-3 So our point is (0,-3).

I hope the above steps were helpful.

For free Step-By-Step Videos on Introduction to Algebra, please visit http://www.FreedomUniversity.TV/courses/IntroAlgebra or for Trigonometry visit http://www.FreedomUniversity.TV/courses/Trigonometry.

And good luck in your studies!

Respectfully,
Dr J