SOLUTION: Q.4: A trapezium with vertices A(t,0),B(t+2,0),C(t+2,3t+2) and D(t,2t+1), where t>0, has an area of 18 square units.Find the value of t.

Algebra ->  Triangles -> SOLUTION: Q.4: A trapezium with vertices A(t,0),B(t+2,0),C(t+2,3t+2) and D(t,2t+1), where t>0, has an area of 18 square units.Find the value of t.      Log On


   



Question 214197: Q.4: A trapezium with vertices A(t,0),B(t+2,0),C(t+2,3t+2) and D(t,2t+1), where t>0, has an area of 18 square units.Find the value of t.
Answer by Edwin McCravy(20081) About Me  (Show Source):
You can put this solution on YOUR website!



The equation for the area of a trapezium (In the US, it's
called a "trapezoid") is:

Area+=+%28b%5B1%5D%2Bb%5B2%5D%29h%2F2, where b%5B1%5D and b%5B2%5D
are the two parallel sides, and h is the perpendicular
distance between them.

In this problem, b%5B1%5D=AD=2t%2B1, b%5B2%5D=BC=3t%2B2, h=AB=2,
Area=18

Substitute these into 

Area+=+%28b%5B1%5D%2Bb%5B2%5D%29h%2F2, 

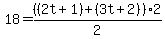
18+=+%28%282t%2B1%29%2B%283t%2B2%29%292%2F2

Can you solve that equation? If not post again asking how.

When you solve it you'll get answer t=3 

Edwin