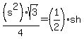
For an equilateral triangle,
Area is given by

where s is the length of the side







Clear till here? Good.
Now we have to take factors twice.
So we get
........[first time]
......[second time]
......[simplified]
Therefore we get our value of 's' as 

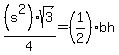
Now base and side are equal,therefore








So we have our values as


We can verify this using the [A=1/2bh] formula,
Area=1/2*s*h






And thus we know that our values for s and h are correct.
Hope this helps,
Prabhat