Question 119104: The length of one leg of a right triangle is 1 in. more than the other. If the length of the hypotenuse is 3 in., what are the lengths of the legs? round to the nearest thousandth of an inch.
Answer by solver91311(24713) (Show Source):
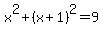
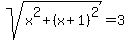
You can put this solution on YOUR website! Let the shorter leg of the triangle be x, then the longer leg is x + 1.
Using Pythagoras' formula:
Square both sides:
Expand the binomial and simplify:



Solve the quadratic with the quadratic formula:
is clearly < 0, and a negative number representing the length of the side of a triangle is nonsense, so we can exclude this root of the equation as an answer to our problem.
is then the exact representation of the length of the short side of the triangle, and is the exact representation of the length of the longer side.
However, you were asked to express your answer as a decimal to the nearest thousanth of an inch.
is approximately 4.1231. Subtracting 1 and dividing by 2 yields 1.5615 which rounds to 1.562, for the short side, and then adding 1 would give 2.562 for the long side.
Note: It is completely inappropriate to express the answer to this problem with the precision (nearest 1000th) asked. The results of calculations involving measurements should never be expressed with any greater precision than the LEAST precise measurement in the given values. Had the problem been worded thus: "The length of one leg of a right triangle is 1.000 in. more than the other. If the length of the hypotenuse is 3.000 in., what are the lengths of the legs? round to the nearest thousandth of an inch." Then the requested precision would have been both appropriate and unnecessary to request.
The difference between saying that the side of the triangle measures 1 inch and saying that it measures 1.000 inch is vast. Saying that the measure is 1 inch only guarantees that the measurement is somewhere on the interval , whereas saying that the measure is 1.000 inch restricts the interval to .
So, although 1.562 inches and 2.562 inches are the values the question required, the correct values, given the precision of the given measurements, are 2 inches and 3 inches.
|
|
|