SOLUTION: two sides and an angle are given below. Determine whether the given information results in one​ triangle, two​ triangles, or no triangle at all. Solve any​ triangle(s) that r

Algebra ->  Triangles -> SOLUTION: two sides and an angle are given below. Determine whether the given information results in one​ triangle, two​ triangles, or no triangle at all. Solve any​ triangle(s) that r      Log On


   



Question 1149730: two sides and an angle are given below. Determine whether the given information results in one​ triangle, two​ triangles, or no triangle at all. Solve any​ triangle(s) that results.
a=8 c=3 C=110 degrees
a and c are sides,

Answer by Edwin McCravy(20063) About Me  (Show Source):
You can put this solution on YOUR website!
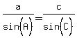
a%2Fsin%28A%5E%22%22%29=c%2Fsin%28C%5E%22%22%29

8%2Fsin%28A%5E%22%22%29=3%2Fsin%28110%5Eo%29

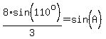
8%2Asin%28110%5Eo%29=3%2Asin%28A%5E%22%22%29

8%2Asin%28110%5Eo%29%2F3=sin%28A%5E%22%22%29

2.505846989=sin%28A%5E%22%22%29

All sines of all angles are less than or equal to 1 in absolute value,
so there is no solution, no triangle.

Edwin