SOLUTION: Circle X has a radius of 1/3 meter. Cricle Y has a radius of 1 meter. What is the ratio of the area of circle X to area of circle Y? A)1:9 B)9:1 C)1:3 D)3:1

Algebra ->  Triangles -> SOLUTION: Circle X has a radius of 1/3 meter. Cricle Y has a radius of 1 meter. What is the ratio of the area of circle X to area of circle Y? A)1:9 B)9:1 C)1:3 D)3:1      Log On


   



Question 1142006: Circle X has a radius of 1/3 meter. Cricle Y has a radius of 1 meter. What is the ratio of the area of circle X to area of circle Y?
A)1:9
B)9:1
C)1:3
D)3:1

Answer by math_helper(2461) About Me  (Show Source):
You can put this solution on YOUR website!
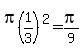
Area of X: +pi%281%2F3%29%5E2+=+pi%2F9+ +m%5E2+
Area of Y: +pi%281%29%5E2+=+pi++ +m%5E2+
X/Y = _____