SOLUTION: Land in the shape of an isosceles triangle has a base of 130 m. An altitude from one of the legs of the triangle is 120 m. What is the area of the property? Can someone please

Algebra ->  Triangles -> SOLUTION: Land in the shape of an isosceles triangle has a base of 130 m. An altitude from one of the legs of the triangle is 120 m. What is the area of the property? Can someone please       Log On


   



Question 1132035: Land in the shape of an isosceles triangle has a base of 130 m. An altitude from one of the legs of the triangle is 120 m. What is the area of the property?

Can someone please solve this without using trignometry.
a) 3000
b) 9840
c) 9512
d) 10 140
e) 10 200

Found 3 solutions by MathLover1, greenestamps, ikleyn:
Answer by MathLover1(20850) About Me  (Show Source):
You can put this solution on YOUR website!

Land in the shape of an isosceles triangle has a base of 130 m. An altitude from one of the legs of the triangle is 120 m. What is the area of the property?


given:
base base=130
altitude a=120

We can equate the area as follows:

A=%281%2F2%29base+%2A+height+
A=%28130%2F2%29+%2A+height+
A+=65%2Aheight.............. (1)


area of the triangle using given altitude:

A%5B1%5D+=120+%2A+%281%2F2%29%2Aside
A%5B1%5D+=60+%2A+side ............. (2)


Set (1) = (2) and solve for the side:

60+%2A+side++=++65+%2A+height
side++=+%2865%2F60%29+%2A+height
side++=++%2813%2F12%29%2Ah

The side is the hypotenuse of a right triangle with the height and 1%2F2 base being the legs.
So using the Pythagorean Theorem, we have that

sqrt+%28+side%5E2++-++h%5E2+%29+++=++%281%2F2%29+base
Substitute side
sqrt%28%28+%2813%2F12%29h%29%5E2++-+h%5E2%29++=++%281%2F2%29+base++
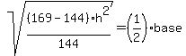
sqrt+%28+%28169%2F+144%29h%5E2+-++%28144%2F144%29h%5E2+%29++=+%28+1%2F2%29+base
sqrt%28%28169+-+144%29+h%5E2++%2F+144+%29++=++%281%2F2%29+base
sqrt+%2825h%5E2+%2F+144+%29++=++%281%2F2%29+base
%285h+%2F+12%29++=++%281%2F2%29+base

since %281%2F2%29+base=130%2F2=65
%285%2F12%29h++=++65
h+=+65%2F%285%2F12%29
h+=+%2865%2A12%29%2F5
h++=+13+%2A+12
h+=+++156+m

So, the area is:
A=%281%2F2%29base+%2A+height
A=%281%2F2%29130m+%2A+156m
A=65m+%2A+156m
A=10140m%5E2

so, your answer is: d) 10+140


Answer by greenestamps(13203) About Me  (Show Source):
You can put this solution on YOUR website!


Let AB be the base, with AD the altitude to side BC; AC = BC = x.

ADB is a right triangle with one leg AD = 120 and hypotenuse AB = 130; that makes leg BD 50.

Now triangle ACD is also a right triangle; the hypotenuse AC is x, leg AD is 120, and leg CD is x-50. Then

x%5E2+=+120%5E2+%2B+%28x-50%29%5E2
x%5E2+=+14400+%2B+x%5E2-100x%2B2500
0+=+16900-100x
100x+=+16900
x+=+169

We can find the area of the triangle using BC as the base, since AD is the altitude to that base:

A+=+%281%2F2%29%28169%29%28120%29+=+169%2A60+=+10140

Answer d.

Answer by ikleyn(52832) About Me  (Show Source):
You can put this solution on YOUR website!
.

            Another solution is possible based on totally different idea.


Let the triangle be ABC with the base AB and the lateral sides AC and BC.


Let AD be the altitude of the triangle drawn from A to the lateral side BC.


Then DC is the leg in the right angle triangle ADB with the hypotenuse AB= 130 m and the other leg AD = 120 m - hence


    |DB| = sqrt%28130%5E2-120%5E2%29 = 50 m.


Draw the altitude CE from vertex C to the base AB.


The triangles ADB and CEB are similar (since they are right-angled triangles with the common acute angle B). Hence,


    abs%28AD%29%2Fabs%28BD%29 = abs%28CE%29%2Fabs%28BE%29,  or  120%2F50 = h%2F65,


where  h is the altitude CE:  h = |CE|.  It gives for h


    h = %28120%2A65%29%2F50 = 12*13  meters.


Now the area of the triangle  ABC  is   


    Area = %281%2F2%29%2A130%2A%2812%2A13%29%29 = 130*6*13 = 10140 square meters.    ANSWER