SOLUTION: Gina and Gerard are twins who are both exactly 1.5 meters tall. Gina has a very long rope. Gerard attaches one end of it to the bottom of a 1.5-meter tree stump with a tent peg. Gi

Algebra ->  Triangles -> SOLUTION: Gina and Gerard are twins who are both exactly 1.5 meters tall. Gina has a very long rope. Gerard attaches one end of it to the bottom of a 1.5-meter tree stump with a tent peg. Gi      Log On


   



Question 1117795: Gina and Gerard are twins who are both exactly 1.5 meters tall. Gina has a very long rope. Gerard attaches one end of it to the bottom of a 1.5-meter tree stump with a tent peg. Gina picks up the rope and holds it above her head as high and as tightly as she can so it is 2 m above the ground. She lets the rest of the rope fall down behind her back and stands on it. Gerard then picks up the other end of the rope and stands on the tree stump so the rope crosses itself. This end of the rope just reaches the top of his head. what is the height where the rope crosses

Answer by greenestamps(13203) About Me  (Show Source):
You can put this solution on YOUR website!


After you draw the figure, you have the classic problem of lines from the tops of two poles to the bottoms of the other pole. The task is to find out how far above the ground the two lines cross, using the heights of the two poles.

You can solve the problem using similar triangles. However, it is a common problem with a simple solution.

If the heights of the two poles are a and b, then the height at which the lines cross is %28ab%29%2F%28a%2Bb%29.

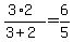
In your problem, the heights are 2m and 3m; the height at which the ropes cross is %283%2A2%29%2F%283%2B2%29+=+6%2F5 = 1.2m.

In case you see this problem again, note that the distance between the poles is irrelevant.