SOLUTION: log100+In(square root e)
Algebra
->
Triangles
-> SOLUTION: log100+In(square root e)
Log On
Geometry: Triangles
Geometry
Solvers
Solvers
Lessons
Lessons
Answers archive
Answers
Click here to see ALL problems on Triangles
Question 1110714
:
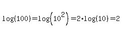
log100+In(square root e)
Answer by
Fombitz(32388)
(
Show Source
):
You can
put this solution on YOUR website!
.
.
.