SOLUTION: Find the magnitude and direction of CD for the given coordinates. Round to the nearest tenth. C(−4, 1), D(−7, 3)

Algebra ->  Triangles -> SOLUTION: Find the magnitude and direction of CD for the given coordinates. Round to the nearest tenth. C(−4, 1), D(−7, 3)      Log On


   



Question 1110566: Find the magnitude and direction of CD for the given coordinates. Round to the nearest tenth. C(−4, 1), D(−7, 3)
Answer by Fombitz(32388) About Me  (Show Source):
You can put this solution on YOUR website!
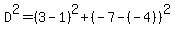
For magnitude, use the distance formula,
D%5E2=%28x%5B1%5D-x%5B2%5D%29%5E2%2B%28y%5B1%5D-y%5B2%5D%29%5E2
D%5E2=%283-1%29%5E2%2B%28-7-%28-4%29%29%5E2
Solve for D.
.
.
.
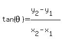
For the direction, use the slope,
tan%28theta%29=%28y%5B2%5D-y%5B1%5D%29%2F%28x%5B2%5D-x%5B1%5D%29
tan%28theta%29=%283-1%29%2F%28-7-%28-3%29%29
Solve for theta.