SOLUTION: A corner wall is built with one side 2ft longer than the other. If the two ends are 6ft apart, what is the length of the shorter side?

Algebra ->  Triangles -> SOLUTION: A corner wall is built with one side 2ft longer than the other. If the two ends are 6ft apart, what is the length of the shorter side?      Log On


   



Question 1079912: A corner wall is built with one side 2ft longer than the other. If the two ends are 6ft apart, what is the length of the shorter side?
Answer by ikleyn(52864) About Me  (Show Source):
You can put this solution on YOUR website!
.
If this corner is the right angle, then

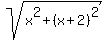
sqrt%28x%5E2+%2B%28x%2B2%29%5E2%29 = 6 --->

x%5E2+%2B+x%5E2+%2B+4x+%2B+4 = 36  --->  

2x%5E2+%2B+4x+-+32%7D%7D+=+0%2C%0D%0A%0D%0A%7B%7B%7Bx%5E2+%2B+2x+-+16 = 0,

x%5B1%2C2%5D = %28-2+%2B-+sqrt%282%5E2%2B4%2A16%29%29%2F2 = %28-2+%2B-+sqrt%2868%29%29%2F2 .

The only positive root is {{x}}} = %28sqrt%2868%29-2%29%2F2 = 3.123 ft (approximately).

Check.  sqrt%283.123%5E2+%2B+%283.123%2B2%29%5E2%29 = 5.9999.   Good !


Answer.  the length of the shorter side is  %28sqrt%2868%29-2%29%2F2 = 3.123 ft (approximately).