SOLUTION: In triangle SAM, the longest side is 15. Find the range of values for x so that triangle SAM is an acute triangle. SA = x AM = 15 SM = x+3

Algebra ->  Triangles -> SOLUTION: In triangle SAM, the longest side is 15. Find the range of values for x so that triangle SAM is an acute triangle. SA = x AM = 15 SM = x+3      Log On


   



Question 1006326: In triangle SAM, the longest side is 15. Find the range of values for x so that triangle SAM is an acute triangle.
SA = x
AM = 15
SM = x+3

Found 2 solutions by josgarithmetic, MathTherapy:
Answer by josgarithmetic(39620) About Me  (Show Source):
You can put this solution on YOUR website!
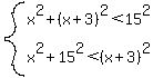
Making a drawing, A above, S at bottom at the left, M at bottom to the right, if you want the triangle to be acute, then these two equations (maybe another one additionally) are necessary:

system%28x%5E2%2B%28x%2B3%29%5E2%3C15%5E2%2Cx%5E2%2B15%5E2%3C%28x%2B3%29%5E2%29
You want the intersection of the solutions to these.

(You would need to simplify that system and solve each inequality, not done/shown in this posting.)

Answer by MathTherapy(10552) About Me  (Show Source):
You can put this solution on YOUR website!
In triangle SAM, the longest side is 15. Find the range of values for x so that triangle SAM is an acute triangle.
SA = x
AM = 15
SM = x+3
highlight_green%286+%3C+x+%3C+12%29