This Lesson (Stewart's Theorem) was created by by CubeyThePenguin(3113)  : View Source, ShowAbout CubeyThePenguin: enjoys helping others with math
Stewart's theorem yields a relation between the lengths of the sides and the length of a cevian in a triangle. A cevian is a line that passes through a triangle's vertex and a point on the side opposite that vertex.
.
In the following illustration, a, b, c are the sides of the triangles, m, n is the length of the segments split by the cevian, and d (not labeled) is the length of the cevian.
We have the following relationship:
This can be rewritten as follows:
Remember, "a man and a dad put a bomb in the sink."
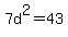
Let us begin with an example. Suppose we have a triangle with sides AC = 3, AB = 5, and BC = 7. The cevian splits side BC into segments of length 3 and 4. What is the length of the cevian?
.
We can simply plug everything into the formula:
This lesson has been accessed 2067 times.
|