SOLUTION: Solve by completing the square and quadratic formula: 1.) 3x^2+8x+5=0 2.) x^2+4x+1=0

Algebra ->  Systems-of-equations -> SOLUTION: Solve by completing the square and quadratic formula: 1.) 3x^2+8x+5=0 2.) x^2+4x+1=0      Log On


   



Question 983694: Solve by completing the square and quadratic formula:
1.) 3x^2+8x+5=0
2.) x^2+4x+1=0

Found 2 solutions by josgarithmetic, MathTherapy:
Answer by josgarithmetic(39625) About Me  (Show Source):
You can put this solution on YOUR website!
General solution for formula of quadratic equation is the shortcut for Completing the Square.

Help just on your #1:

3%28x%5E2%2B%288%2F3%29x%2B5%2F3%29=0
3%28x%5E2%2B%288%2F3%29x%2B%288%2F6%29%5E2-%288%2F6%29%5E2%2B5%2F3%29=0
3%28%28x%2B8%2F6%29%5E2-4%2F3%2B5%2F3%29=0
3%28%28x%2B4%2F3%29%5E2%2B1%2F3%29=0
highlight_green%283%28x%2B4%2F3%29%5E2%2B1=0%29-------Same equation but now in standard form.

Finding x
3%28x%2B4%2F3%29%5E2=-1
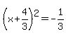
%28x%2B4%2F3%29%5E2=-1%2F3
x%2B4%2F3=0%2B-+sqrt%28-1%2F3%29
x=-4%2F3%2B-+sqrt%28-1%2F3%29
Observe the imaginary number.
x=-4%2F3%2B-+i%2Asqrt%281%2F3%29
Rationalizing the irrational term,
highlight%28x=-4%2F3%2B-+i%2Asqrt%283%29%2F3%29

You could also use the formula for general solution of a quadratic equation, just substituting the coefficients into the formula.
x=%28-8%2B-+sqrt%288%5E2-4%2A3%2A5%29%29%2F%282%2A3%29
and simplify it.

Answer by MathTherapy(10555) About Me  (Show Source):
You can put this solution on YOUR website!

Solve by completing the square and quadratic formula:
1.) 3x^2+8x+5=0
2.) x^2+4x+1=0
highlight_green%28system%28x+=+-+1_or%2Cx+=+%28-+5%2F3%29%29%29