SOLUTION: What is the solution to the following systems of equations? {{{y=2e^(2x)}}} {{{y=e^x -1}}}

Algebra ->  Systems-of-equations -> SOLUTION: What is the solution to the following systems of equations? {{{y=2e^(2x)}}} {{{y=e^x -1}}}      Log On


   



Question 852545: What is the solution to the following systems of equations?
y=2e%5E%282x%29
y=e%5Ex+-1

Answer by josmiceli(19441) About Me  (Show Source):
You can put this solution on YOUR website!
I'll take a shot at it
y=2e%5E%282x%29
y=e%5Ex+-1
----------------
By substitution:
+2%2Ae%5E%282x%29+=+e%5Ex+-+1+
+2%2A%28e%5Ex%29%5E2+=+e%5Ex+-+1+
+2%2A%28e%5Ex%29%5E2+-+e%5Ex+%2B+1+=+0+
Make the substitution:
+z+=+e%5Ex+
+2z%5E2+-+z+%2B+1+=+0+
Use quadratic formula
+z+=+%28+-b+%2B-+sqrt%28+b%5E2+-+4%2Aa%2Ac+%29%29+%2F+%282%2Aa%29+
+a+=+2+
+b+=+-1+
+c=+1+
+z+=+%28+-%28-1%29+%2B-+sqrt%28+%28-1%29%5E2+-+4%2A2%2A1+%29%29+%2F+%282%2A2%29+
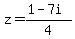
+z+=+%28+1+%2B-+sqrt%28+-7+%29%29+%2F+4+
+z+=+%28+1+%2B+7i+%29+%2F+4+
and
+z+=+%28+1+-+7i+%29+%2F+4+
--------------------
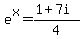
substituting again:
+e%5Ex+=+%28+1+%2B+7i+%29+%2F+4+
+x+=+ln%28+1%2F4+%2B+%287%2F4%29%2Ai+%29+
and
+x+=+ln%28+1%2F4+-+%287%2F4%29%2Ai+%29+
------------------------
that's as far as I can go