The difference between the squares of two numbers is 84. Twice the square of the second number subtracted from the square of the first number is 68. Find the numbers
What I have:
x^2 - y^2 = 84
2y^2 - x^2 = 68 ?????
That's INCORRECT!!
You have the 1st number as x, so 2nd number is y
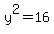
It should then be:
, and

Solve this system and you should end up with first number:
, and second number: 
You can do the check!!
Send comments, “thank-yous,” and inquiries to “D” at MathMadEzy@aol.com.
Further help is available, online or in-person,for a fee, obviously.
For FREE info and answers to questions about the ASVAB exam, the NYS 3 – 8 city/state wide exams,
GENERAL MATH QUESTIONS, MATH HOMEWORK QUESTIONS, or MATH QUESTIONS related to the Regents Integrated Algebra,
Regents Geometry, Regents Algebra 2/Trigonometry, SHSAT, COOP/HSPT/TACHS, PSAT, SAT, ACT, SSAT/ISEE, GRE, CLEP,
and the GED, you can visit: http://asvabstudyzone.freeforums.net/.