SOLUTION: solve the system, show steps please 2x+y+3=0 x^2+y^2=5 i keep geting x=plus or negative (4/3)^(1/2) then i am completely lost as to what step to take next. thank you

Algebra ->  Systems-of-equations -> SOLUTION: solve the system, show steps please 2x+y+3=0 x^2+y^2=5 i keep geting x=plus or negative (4/3)^(1/2) then i am completely lost as to what step to take next. thank you      Log On


   



Question 769570: solve the system, show steps please
2x+y+3=0
x^2+y^2=5
i keep geting x=plus or negative (4/3)^(1/2) then i am completely lost as to what step to take next. thank you

Answer by MathLover1(20850) About Me  (Show Source):
You can put this solution on YOUR website!

2x%2By%2B3=0......eq.1
x%5E2%2By%5E2=5.....eq.2
__________________________
2x%2By%2B3=0......eq.1.....solve for y
y=-2x-3....eq.1a....substitute in eq.2
x%5E2%2B%28-2x-3%29%5E2=5.....eq.2...solve for x

x%5E2%2B%28%28-2x%29%5E2-2x%28-3%29%2B3%5E2%29=5
x%5E2%2B4x%5E2%2B12x%2B9=5
5x%5E2%2B12x%2B9-5=0
5x%5E2%2B12x%2B4=0....use quadratic formula to find x
x+=+%28-b+%2B-+sqrt%28+b%5E2-4%2Aa%2Ac+%29%29%2F%282%2Aa%29+
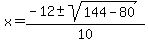
x+=+%28-12%2B-+sqrt%28+12%5E2-4%2A5%2A4+%29%29%2F%282%2A5%29+
x+=+%28-12+%2B-+sqrt%28144+-80%29%29%2F10+
x+=+%28-12+%2B-+sqrt%2864%29%29%2F10+
x+=+%28-12+%2B-+8%29%2F10+
solutions:
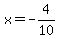
x+=+%28-12+%2B+8%29%2F10+
x+=+-4%2F10+
x+=+-2%2F5+
x+=+-0.4+
or
x+=+%28-12+-+8%29%2F10+
x+=+-20%2F10+
x+=+-2+
now go to eq.1a and find y
y=-2x-3....eq.1a ...plug in x+=+-0.4+
y=-2%28-0.4%29-3
y=0.8-3
y=-2.2
or
y=-2x-3....plug in x+=+-2+
y=-2%28-2%29-3
y=4-3
y=1
solution pairs are:
x+=+-0.4+ and y=-2.2
x+=+-2+ and y=1