Question 60418: X=sqrt(4+sqrt(4-sqrt(4+sqrt(4-.........upto infinity.
find x.
Answer by joyofmath(189) (Show Source):
You can put this solution on YOUR website! x=sqrt(4+sqrt(4-sqrt(4+sqrt(4-...

Then, 
Or, 
Or, 
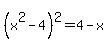
Or, 
Or,
This is a 4th degree, or quartic, polynomial.
There's a quartic equation solver here: http://www.1728.com/quartic.htm
Plug in 1, 0, -8, 1, and 12 as values for A, B, C, D, E. The value for X2 (2.3027756477...) is correct in that that value of x satisfies the equation: and the sum looks like it's a bit bigger then 2.
|
|
|