SOLUTION: -4/9(2x-4)=48

Algebra ->  Systems-of-equations -> SOLUTION: -4/9(2x-4)=48      Log On


   



Question 54395: -4/9(2x-4)=48
Answer by funmath(2933) About Me  (Show Source):
You can put this solution on YOUR website!
The whole left side of the equation is being multiplied by -4/9, so we can divide both sides by -4/9 to get rid of it. When we divide a fraction, we multiply by the reciprocal (upside down in this case -9/4):
%28-4%2F9%29%282x-4%29=48
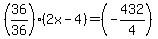
%28-9%2F4%29%28-4%2F9%29%282x-4%29=%28-9%2F4%29%2848%29
%2836%2F36%29%282x-4%29=%28-432%2F4%29
2x-4=-108 (36/36=1 it didn't magically disappear.)
2x-4%2B4=-108%2B4
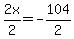
2x=-104
2x%2F2=-104%2F2
highlight%28x=-52%29
Happy Calculating!!!