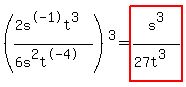
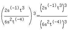
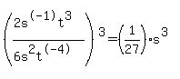
SOLUTION: Simplify. (2s^-1t^3/6s^2t^-4)^3

Algebra ->  Systems-of-equations -> SOLUTION: Simplify. (2s^-1t^3/6s^2t^-4)^3      Log On