SOLUTION: Given the center: (3, -5) and r = 3 What is the center-radius form of the equation? What is the general form of the equation?

Algebra ->  Systems-of-equations -> SOLUTION: Given the center: (3, -5) and r = 3 What is the center-radius form of the equation? What is the general form of the equation?       Log On


   



Question 324000: Given the center: (3, -5) and r = 3
What is the center-radius form of the equation?
What is the general form of the equation?

Answer by Fombitz(32388) About Me  (Show Source):
You can put this solution on YOUR website!
The general equation for a circle centered at (h,k) with a radius R is:
%28x-h%29%5E2%2B%28y-k%29%5E2=R%5E2
%28x-3%29%5E2%2B%28y%2B5%29%5E2=9
.
.
.
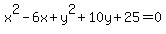
Expanding,
%28x%5E2-6x%2B9%29%2B%28y%5E2%2B10y%2B25%29-9=0
x%5E2-6x%2By%5E2%2B10y%2B25=0