SOLUTION: simplify the following rational expression 2b-8/b^2-16
Algebra
->
Systems-of-equations
-> SOLUTION: simplify the following rational expression 2b-8/b^2-16
Log On
Algebra: Systems of equations that are not linear
Section
Solvers
Solvers
Lessons
Lessons
Answers archive
Answers
Click here to see ALL problems on Systems-of-equations
Question 312443
:
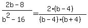
simplify the following rational expression 2b-8/b^2-16
Answer by
Fombitz(32388)
(
Show Source
):
You can
put this solution on YOUR website!