SOLUTION: Solve: 5x+3/root over y=13 2x-9/root over y=1 by elimination method.

Algebra ->  Systems-of-equations -> SOLUTION: Solve: 5x+3/root over y=13 2x-9/root over y=1 by elimination method.      Log On


   



Question 187521: Solve: 5x+3/root over y=13
2x-9/root over y=1
by elimination method.

Answer by ankor@dixie-net.com(22740) About Me  (Show Source):
You can put this solution on YOUR website!
Solve:
:
Assume the problem is:
5x%2B3sqrt%28y%29+=+13
2x-9sqrt%28y%29+=+1
:
Multiply the 1st equation by 3 and add
15x+%2B+9sqrt%28y%29+=+39
2x+-+9sqrt%28y%29+=+1
-----------------------eliminates y
17x = 40
x = 40%2F17
:
Find y using the 1st equation
5%2840%2F17%29%2B+3sqrt%28y%29+=+13
%28200%2F17%29%2B+3sqrt%28y%29+=+13
3sqrt%28y%29+=+13+-+%28200%2F17%29
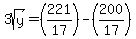
3sqrt%28y%29+=+%28221%2F17%29-+%28200%2F17%29
3sqrt%28y%29+=+%2821%2F17%29
Divide both sides by 3
sqrt%28y%29+=+%287%2F17%29
Square both sides
y = 49%2F221
;
Check solution; x = 40%2F17, y = 49%2F221 in the 2nd equation
2x-9sqrt%28y%29+=+1
2%2840%2F17%29-+9sqrt%2849%2F221%29+=+1+
%2880%2F17%29-+9%2A%287%2F17%29+=+1
%2880%2F17%29-+%2863%2F17%29+=+1
17%2F17 = 1