
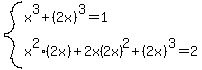
Let
Now we can solve each for
as long as we require that
and
So we will take Case 1 as when they are both true:
Case 1:
and
Then we can solve both for
without
dividing by 0:
Since the left sides are equal, so are the right
sides:
Cross multiply:
Get 0 on the right and left side in descending
order:
Factor k^2 out of the first two terms on the left,
and factor -1 out of the last two terms on the left:
Factor
out of both terms on the left:
Factor the second parentheses on the left:
Using the zero-factor principle:
Remember that the requirements for Case 1 were:
and
We investigate to see whether
satisfies
both of those requirements. Substituting,
and
and
and
and
and
So there are both satisfied, so we can use
We now investigate to see whether
satisfies
both of those requirements. Substituting,
and
and
and
and
and
So these are both satisfied, so we can also use
We now investigate to see whether
satisfies
both of those requirements. Substituting,
and
and
and
and
and
Since the first is not satisfied we cannot use
Now we use
and since
,
in the original:
solving both for
So these are the same, so we can
get the real solution by taking cube roots
of both sides:
rationalizing:
And since in this case
we have solution
But that's not necessarily the only solution.
Now we use
and since
,
in the original:
solving both for
So these are the same, so we can
get a real solution by taking cube roots
of both sides:
rationalizing:
And since in this case
we have solution
So we have found two solutions. But this
was only for Case 1, when
and
We must investigate the possibility of
solutions when one or both of these are
violated:
Case 2:
This means that
or
Now we use
and since
,
in the original:
This is certainly not true, so Case 2
is not possible since it produces
no solutions.
Case 3:
Factoring out k on the left:
Factoring the trinomial in parenheses:
Using the zero-factor principle:
We have already seen that
is not
possible, so we only need investigate
Now we use
and since
,
in the original:
This is certainly not true, so Case 3
is not possible since it produces
no solutions.
So the only real solutions are:
and
However, there are also some imaginary solutions. I did not
find those. They would require finding the 2 imaginary
cube roots each of 4 and 3. I only considered the real
cube roots of 4 and 3. Post again if you want all the
imaginary solutions as well.
Edwin