Question 104244: 1. 2x-y=1
6x-3y=3
2. y=5x-1
y=5x+4
3. x+y=38
x=2y-25
4. -2x+5y=9
x+y=13
5. 2x+y=7
3x-y=3
6. y=3x+2
2x+y=-8
7.y=-x-3
y=-2x-8
8. y<_3x-2
y>x+1
9. y=x
y=2x-4
10. -2x+y=6
y=3x+9
11. y<3x-2
-3x+y-2
12. x+y=8
x-y=10
13. y=x-3
y=-3x+25
14. 4x=2y+1
2x+y=4
15. x=2y=10
2x+4y=10
16. y=x+4
y=4x+1
17. y=6x-4
y=-2+28
18. 3x-1oy=-25
4x=40y=20
19. 8x=11y=20
5x-11y=59
20.x-4y=11
8x-6y-36
Answer by MathLover1(20850) (Show Source):
You can put this solution on YOUR website!
1.
| Solved by pluggable solver: Solving a linear system of equations by subsitution |
Lets start with the given system of linear equations


Now in order to solve this system by using substitution, we need to solve (or isolate) one variable. I'm going to choose y.
Solve for y for the first equation
Subtract from both sides
Divide both sides by -1.
Which breaks down and reduces to
Now we've fully isolated y
Since y equals we can substitute the expression into y of the 2nd equation. This will eliminate y so we can solve for x.
Replace y with . Since this eliminates y, we can now solve for x.
Distribute -3 to 
Multiply
Reduce any fractions
Subtract from both sides
Combine the terms on the right side
Now combine the terms on the left side.
Since this expression is true for any x, we have an identity.
So there are an infinite number solutions. The simple reason is the 2 equations represent 2 lines that overlap each other. So they intersect each other at an infinite number of points.
If we graph and we get
graph of
graph of (hint: you may have to solve for y to graph these)
we can see that these two lines are the same. So this system is dependent |
2.
| Solved by pluggable solver: Solving a linear system of equations by subsitution |
Lets start with the given system of linear equations


Now in order to solve this system by using substitution, we need to solve (or isolate) one variable. I'm going to choose y.
Solve for y for the first equation
Add to both sides
Divide both sides by 1.
Which breaks down and reduces to
Now we've fully isolated y
Since y equals we can substitute the expression into y of the 2nd equation. This will eliminate y so we can solve for x.
Replace y with . Since this eliminates y, we can now solve for x.
Distribute 1 to 
Multiply
Reduce any fractions
Add to both sides
Combine the terms on the right side
Now combine the terms on the left side.
Since this expression is not true, we have an inconsistency.
So there are no solutions. The simple reason is the 2 equations represent 2 parallel lines that will never intersect. Since no intersections occur, no solutions exist.
graph of (red) and (green) (hint: you may have to solve for y to graph these)
and we can see that the two equations are parallel and will never intersect. So this system is inconsistent |
3.
| Solved by pluggable solver: Solving a linear system of equations by subsitution |
Lets start with the given system of linear equations


Now in order to solve this system by using substitution, we need to solve (or isolate) one variable. I'm going to choose y.
Solve for y for the first equation
Subtract from both sides
Divide both sides by 1.
Which breaks down and reduces to
Now we've fully isolated y
Since y equals we can substitute the expression into y of the 2nd equation. This will eliminate y so we can solve for x.
Replace y with . Since this eliminates y, we can now solve for x.
Distribute -2 to 
Multiply
Reduce any fractions
Add to both sides
Combine the terms on the right side
Now combine the terms on the left side.
Multiply both sides by . This will cancel out and isolate x
So when we multiply and (and simplify) we get
<---------------------------------One answer
Now that we know that , lets substitute that in for x to solve for y
Plug in into the 2nd equation
Multiply
Subtract from both sides
Combine the terms on the right side
Multiply both sides by . This will cancel out -2 on the left side.
Multiply the terms on the right side
Reduce
So this is the other answer
<---------------------------------Other answer
So our solution is
and 
which can also look like
( , )
Notice if we graph the equations (if you need help with graphing, check out this solver)


we get
graph of (red) and (green) (hint: you may have to solve for y to graph these) intersecting at the blue circle.
and we can see that the two equations intersect at ( , ). This verifies our answer.
-----------------------------------------------------------------------------------------------
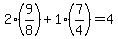
Check:
Plug in ( , ) into the system of equations
Let and . Now plug those values into the equation 
Plug in and 
Multiply
Add
Reduce. Since this equation is true the solution works.
So the solution ( , ) satisfies 
Let and . Now plug those values into the equation 
Plug in and 
Multiply
Add
Reduce. Since this equation is true the solution works.
So the solution ( , ) satisfies 
Since the solution ( , ) satisfies the system of equations


this verifies our answer.
|
4.
| Solved by pluggable solver: Solving a linear system of equations by subsitution |
Lets start with the given system of linear equations


Now in order to solve this system by using substitution, we need to solve (or isolate) one variable. I'm going to choose y.
Solve for y for the first equation
Add to both sides
Divide both sides by 5.
Which breaks down and reduces to
Now we've fully isolated y
Since y equals we can substitute the expression into y of the 2nd equation. This will eliminate y so we can solve for x.
Replace y with . Since this eliminates y, we can now solve for x.
Distribute 1 to 
Multiply
Reduce any fractions
Subtract from both sides
Make 13 into a fraction with a denominator of 5
Combine the terms on the right side
Make 1 into a fraction with a denominator of 5
Now combine the terms on the left side.
Multiply both sides by . This will cancel out and isolate x
So when we multiply and (and simplify) we get
<---------------------------------One answer
Now that we know that , lets substitute that in for x to solve for y
Plug in into the 2nd equation
Multiply
Subtract from both sides
Combine the terms on the right side
Multiply both sides by . This will cancel out 1 on the left side.
Multiply the terms on the right side
Reduce
So this is the other answer
<---------------------------------Other answer
So our solution is
and 
which can also look like
( , )
Notice if we graph the equations (if you need help with graphing, check out this solver)


we get
graph of (red) and (green) (hint: you may have to solve for y to graph these) intersecting at the blue circle.
and we can see that the two equations intersect at ( , ). This verifies our answer.
-----------------------------------------------------------------------------------------------
Check:
Plug in ( , ) into the system of equations
Let and . Now plug those values into the equation 
Plug in and 
Multiply
Add
Reduce. Since this equation is true the solution works.
So the solution ( , ) satisfies 
Let and . Now plug those values into the equation 
Plug in and 
Multiply
Add
Reduce. Since this equation is true the solution works.
So the solution ( , ) satisfies 
Since the solution ( , ) satisfies the system of equations


this verifies our answer.
|
5.
| Solved by pluggable solver: Solving a linear system of equations by subsitution |
Lets start with the given system of linear equations


Now in order to solve this system by using substitution, we need to solve (or isolate) one variable. I'm going to choose y.
Solve for y for the first equation
Subtract from both sides
Divide both sides by 1.
Which breaks down and reduces to
Now we've fully isolated y
Since y equals we can substitute the expression into y of the 2nd equation. This will eliminate y so we can solve for x.
Replace y with . Since this eliminates y, we can now solve for x.
Distribute -1 to 
Multiply
Reduce any fractions
Add to both sides
Combine the terms on the right side
Now combine the terms on the left side.
Multiply both sides by . This will cancel out and isolate x
So when we multiply and (and simplify) we get
<---------------------------------One answer
Now that we know that , lets substitute that in for x to solve for y
Plug in into the 2nd equation
Multiply
Subtract from both sides
Combine the terms on the right side
Multiply both sides by . This will cancel out -1 on the left side.
Multiply the terms on the right side
Reduce
So this is the other answer
<---------------------------------Other answer
So our solution is
and 
which can also look like
( , )
Notice if we graph the equations (if you need help with graphing, check out this solver)


we get
graph of (red) and (green) (hint: you may have to solve for y to graph these) intersecting at the blue circle.
and we can see that the two equations intersect at ( , ). This verifies our answer.
-----------------------------------------------------------------------------------------------
Check:
Plug in ( , ) into the system of equations
Let and . Now plug those values into the equation 
Plug in and 
Multiply
Add
Reduce. Since this equation is true the solution works.
So the solution ( , ) satisfies 
Let and . Now plug those values into the equation 
Plug in and 
Multiply
Add
Reduce. Since this equation is true the solution works.
So the solution ( , ) satisfies 
Since the solution ( , ) satisfies the system of equations


this verifies our answer.
|
6.
| Solved by pluggable solver: Solving a linear system of equations by subsitution |
Lets start with the given system of linear equations


Now in order to solve this system by using substitution, we need to solve (or isolate) one variable. I'm going to choose y.
Solve for y for the first equation
Add to both sides
Divide both sides by 1.
Which breaks down and reduces to
Now we've fully isolated y
Since y equals we can substitute the expression into y of the 2nd equation. This will eliminate y so we can solve for x.
Replace y with . Since this eliminates y, we can now solve for x.
Distribute 1 to 
Multiply
Reduce any fractions
Subtract from both sides
Combine the terms on the right side
Now combine the terms on the left side.
Multiply both sides by . This will cancel out and isolate x
So when we multiply and (and simplify) we get
<---------------------------------One answer
Now that we know that , lets substitute that in for x to solve for y
Plug in into the 2nd equation
Multiply
Add to both sides
Combine the terms on the right side
Multiply both sides by . This will cancel out 1 on the left side.
Multiply the terms on the right side
Reduce
So this is the other answer
<---------------------------------Other answer
So our solution is
and 
which can also look like
( , )
Notice if we graph the equations (if you need help with graphing, check out this solver)


we get
graph of (red) and (green) (hint: you may have to solve for y to graph these) intersecting at the blue circle.
and we can see that the two equations intersect at ( , ). This verifies our answer.
-----------------------------------------------------------------------------------------------
Check:
Plug in ( , ) into the system of equations
Let and . Now plug those values into the equation 
Plug in and 
Multiply
Add
Reduce. Since this equation is true the solution works.
So the solution ( , ) satisfies 
Let and . Now plug those values into the equation 
Plug in and 
Multiply
Add
Reduce. Since this equation is true the solution works.
So the solution ( , ) satisfies 
Since the solution ( , ) satisfies the system of equations


this verifies our answer.
|
7.
| Solved by pluggable solver: Solving a linear system of equations by subsitution |
Lets start with the given system of linear equations


Now in order to solve this system by using substitution, we need to solve (or isolate) one variable. I'm going to choose y.
Solve for y for the first equation
Subtract from both sides
Divide both sides by 1.
Which breaks down and reduces to
Now we've fully isolated y
Since y equals we can substitute the expression into y of the 2nd equation. This will eliminate y so we can solve for x.
Replace y with . Since this eliminates y, we can now solve for x.
Distribute 1 to 
Multiply
Reduce any fractions
Add to both sides
Combine the terms on the right side
Now combine the terms on the left side.
Multiply both sides by . This will cancel out and isolate x
So when we multiply and (and simplify) we get
<---------------------------------One answer
Now that we know that , lets substitute that in for x to solve for y
Plug in into the 2nd equation
Multiply
Add to both sides
Combine the terms on the right side
Multiply both sides by . This will cancel out 1 on the left side.
Multiply the terms on the right side
Reduce
So this is the other answer
<---------------------------------Other answer
So our solution is
and 
which can also look like
( , )
Notice if we graph the equations (if you need help with graphing, check out this solver)


we get
graph of (red) and (green) (hint: you may have to solve for y to graph these) intersecting at the blue circle.
and we can see that the two equations intersect at ( , ). This verifies our answer.
-----------------------------------------------------------------------------------------------
Check:
Plug in ( , ) into the system of equations
Let and . Now plug those values into the equation 
Plug in and 
Multiply
Add
Reduce. Since this equation is true the solution works.
So the solution ( , ) satisfies 
Let and . Now plug those values into the equation 
Plug in and 
Multiply
Add
Reduce. Since this equation is true the solution works.
So the solution ( , ) satisfies 
Since the solution ( , ) satisfies the system of equations


this verifies our answer.
|
8. } shade area where these statements are true
| Solved by pluggable solver: Solving a linear system of equations by subsitution |
Lets start with the given system of linear equations


Now in order to solve this system by using substitution, we need to solve (or isolate) one variable. I'm going to choose y.
Solve for y for the first equation
Subtract from both sides
Divide both sides by 1.
Which breaks down and reduces to
Now we've fully isolated y
Since y equals we can substitute the expression into y of the 2nd equation. This will eliminate y so we can solve for x.
Replace y with . Since this eliminates y, we can now solve for x.
Distribute 1 to 
Multiply
Reduce any fractions
Add to both sides
Combine the terms on the right side
Now combine the terms on the left side.
Multiply both sides by . This will cancel out and isolate x
So when we multiply and (and simplify) we get
<---------------------------------One answer
Now that we know that , lets substitute that in for x to solve for y
Plug in into the 2nd equation
Multiply
Subtract from both sides
Make 1 into a fraction with a denominator of 4
Combine the terms on the right side
Multiply both sides by . This will cancel out 1 on the left side.
Multiply the terms on the right side
Reduce
So this is the other answer
<---------------------------------Other answer
So our solution is
and 
which can also look like
( , )
Notice if we graph the equations (if you need help with graphing, check out this solver)


we get
graph of (red) and (green) (hint: you may have to solve for y to graph these) intersecting at the blue circle.
and we can see that the two equations intersect at ( , ). This verifies our answer.
-----------------------------------------------------------------------------------------------
Check:
Plug in ( , ) into the system of equations
Let and . Now plug those values into the equation 
Plug in and 
Multiply
Add
Reduce. Since this equation is true the solution works.
So the solution ( , ) satisfies 
Let and . Now plug those values into the equation 
Plug in and 
Multiply
Add
Reduce. Since this equation is true the solution works.
So the solution ( , ) satisfies 
Since the solution ( , ) satisfies the system of equations


this verifies our answer.
|
9.
| Solved by pluggable solver: Solving a linear system of equations by subsitution |
Lets start with the given system of linear equations


Now in order to solve this system by using substitution, we need to solve (or isolate) one variable. I'm going to choose y.
Solve for y for the first equation
Add to both sides
Divide both sides by 1.
Which breaks down and reduces to
Now we've fully isolated y
Since y equals we can substitute the expression into y of the 2nd equation. This will eliminate y so we can solve for x.
Replace y with . Since this eliminates y, we can now solve for x.
Distribute 1 to 
Multiply
Reduce any fractions
Add to both sides
Combine the terms on the right side
Now combine the terms on the left side.
Multiply both sides by . This will cancel out and isolate x
So when we multiply and (and simplify) we get
<---------------------------------One answer
Now that we know that , lets substitute that in for x to solve for y
Plug in into the 2nd equation
Multiply
Add to both sides
Combine the terms on the right side
Multiply both sides by . This will cancel out 1 on the left side.
Multiply the terms on the right side
Reduce
So this is the other answer
<---------------------------------Other answer
So our solution is
and 
which can also look like
( , )
Notice if we graph the equations (if you need help with graphing, check out this solver)


we get
graph of (red) and (green) (hint: you may have to solve for y to graph these) intersecting at the blue circle.
and we can see that the two equations intersect at ( , ). This verifies our answer.
-----------------------------------------------------------------------------------------------
Check:
Plug in ( , ) into the system of equations
Let and . Now plug those values into the equation 
Plug in and 
Multiply
Add
Reduce. Since this equation is true the solution works.
So the solution ( , ) satisfies 
Let and . Now plug those values into the equation 
Plug in and 
Multiply
Add
Reduce. Since this equation is true the solution works.
So the solution ( , ) satisfies 
Since the solution ( , ) satisfies the system of equations


this verifies our answer.
|
10.
| Solved by pluggable solver: Solving a linear system of equations by subsitution |
Lets start with the given system of linear equations


Now in order to solve this system by using substitution, we need to solve (or isolate) one variable. I'm going to choose y.
Solve for y for the first equation
Add to both sides
Divide both sides by 1.
Which breaks down and reduces to
Now we've fully isolated y
Since y equals we can substitute the expression into y of the 2nd equation. This will eliminate y so we can solve for x.
Replace y with . Since this eliminates y, we can now solve for x.
Distribute 1 to 
Multiply
Reduce any fractions
Subtract from both sides
Combine the terms on the right side
Now combine the terms on the left side.
Multiply both sides by . This will cancel out and isolate x
So when we multiply and (and simplify) we get
<---------------------------------One answer
Now that we know that , lets substitute that in for x to solve for y
Plug in into the 2nd equation
Multiply
Subtract from both sides
Combine the terms on the right side
Multiply both sides by . This will cancel out 1 on the left side.
Multiply the terms on the right side
Reduce
So this is the other answer
<---------------------------------Other answer
So our solution is
and 
which can also look like
( , )
Notice if we graph the equations (if you need help with graphing, check out this solver)


we get
graph of (red) and (green) (hint: you may have to solve for y to graph these) intersecting at the blue circle.
and we can see that the two equations intersect at ( , ). This verifies our answer.
-----------------------------------------------------------------------------------------------
Check:
Plug in ( , ) into the system of equations
Let and . Now plug those values into the equation 
Plug in and 
Multiply
Add
Reduce. Since this equation is true the solution works.
So the solution ( , ) satisfies 
Let and . Now plug those values into the equation 
Plug in and 
Multiply
Add
Reduce. Since this equation is true the solution works.
So the solution ( , ) satisfies 
Since the solution ( , ) satisfies the system of equations


this verifies our answer.
|
11. 
here is something missing
12.
| Solved by pluggable solver: Solving a linear system of equations by subsitution |
Lets start with the given system of linear equations


Now in order to solve this system by using substitution, we need to solve (or isolate) one variable. I'm going to choose y.
Solve for y for the first equation
Subtract from both sides
Divide both sides by 1.
Which breaks down and reduces to
Now we've fully isolated y
Since y equals we can substitute the expression into y of the 2nd equation. This will eliminate y so we can solve for x.
Replace y with . Since this eliminates y, we can now solve for x.
Distribute -1 to 
Multiply
Reduce any fractions
Add to both sides
Combine the terms on the right side
Now combine the terms on the left side.
Multiply both sides by . This will cancel out and isolate x
So when we multiply and (and simplify) we get
<---------------------------------One answer
Now that we know that , lets substitute that in for x to solve for y
Plug in into the 2nd equation
Multiply
Subtract from both sides
Combine the terms on the right side
Multiply both sides by . This will cancel out -1 on the left side.
Multiply the terms on the right side
Reduce
So this is the other answer
<---------------------------------Other answer
So our solution is
and 
which can also look like
( , )
Notice if we graph the equations (if you need help with graphing, check out this solver)


we get
graph of (red) and (green) (hint: you may have to solve for y to graph these) intersecting at the blue circle.
and we can see that the two equations intersect at ( , ). This verifies our answer.
-----------------------------------------------------------------------------------------------
Check:
Plug in ( , ) into the system of equations
Let and . Now plug those values into the equation 
Plug in and 
Multiply
Add
Reduce. Since this equation is true the solution works.
So the solution ( , ) satisfies 
Let and . Now plug those values into the equation 
Plug in and 
Multiply
Add
Reduce. Since this equation is true the solution works.
So the solution ( , ) satisfies 
Since the solution ( , ) satisfies the system of equations


this verifies our answer.
|
13.
| Solved by pluggable solver: Solving a linear system of equations by subsitution |
Lets start with the given system of linear equations


Now in order to solve this system by using substitution, we need to solve (or isolate) one variable. I'm going to choose y.
Solve for y for the first equation
Add to both sides
Divide both sides by 1.
Which breaks down and reduces to
Now we've fully isolated y
Since y equals we can substitute the expression into y of the 2nd equation. This will eliminate y so we can solve for x.
Replace y with . Since this eliminates y, we can now solve for x.
Distribute 1 to 
Multiply
Reduce any fractions
Add to both sides
Combine the terms on the right side
Now combine the terms on the left side.
Multiply both sides by . This will cancel out and isolate x
So when we multiply and (and simplify) we get
<---------------------------------One answer
Now that we know that , lets substitute that in for x to solve for y
Plug in into the 2nd equation
Multiply
Subtract from both sides
Combine the terms on the right side
Multiply both sides by . This will cancel out 1 on the left side.
Multiply the terms on the right side
Reduce
So this is the other answer
<---------------------------------Other answer
So our solution is
and 
which can also look like
( , )
Notice if we graph the equations (if you need help with graphing, check out this solver)


we get
graph of (red) and (green) (hint: you may have to solve for y to graph these) intersecting at the blue circle.
and we can see that the two equations intersect at ( , ). This verifies our answer.
-----------------------------------------------------------------------------------------------
Check:
Plug in ( , ) into the system of equations
Let and . Now plug those values into the equation 
Plug in and 
Multiply
Add
Reduce. Since this equation is true the solution works.
So the solution ( , ) satisfies 
Let and . Now plug those values into the equation 
Plug in and 
Multiply
Add
Reduce. Since this equation is true the solution works.
So the solution ( , ) satisfies 
Since the solution ( , ) satisfies the system of equations


this verifies our answer.
|
14.
| Solved by pluggable solver: Solving a linear system of equations by subsitution |
Lets start with the given system of linear equations


Now in order to solve this system by using substitution, we need to solve (or isolate) one variable. I'm going to choose y.
Solve for y for the first equation
Subtract from both sides
Divide both sides by -2.
Which breaks down and reduces to
Now we've fully isolated y
Since y equals we can substitute the expression into y of the 2nd equation. This will eliminate y so we can solve for x.
Replace y with . Since this eliminates y, we can now solve for x.
Distribute 1 to 
Multiply
Reduce any fractions
Add to both sides
Make 4 into a fraction with a denominator of 2
Combine the terms on the right side
Now combine the terms on the left side.
Multiply both sides by . This will cancel out and isolate x
So when we multiply and (and simplify) we get
<---------------------------------One answer
Now that we know that , lets substitute that in for x to solve for y
Plug in into the 2nd equation
Multiply
Subtract from both sides
Make 4 into a fraction with a denominator of 4
Combine the terms on the right side
Multiply both sides by . This will cancel out 1 on the left side.
Multiply the terms on the right side
Reduce
So this is the other answer
<---------------------------------Other answer
So our solution is
and 
which can also look like
( , )
Notice if we graph the equations (if you need help with graphing, check out this solver)


we get
graph of (red) and (green) (hint: you may have to solve for y to graph these) intersecting at the blue circle.
and we can see that the two equations intersect at ( , ). This verifies our answer.
-----------------------------------------------------------------------------------------------
Check:
Plug in ( , ) into the system of equations
Let and . Now plug those values into the equation 
Plug in and 
Multiply
Add
Reduce. Since this equation is true the solution works.
So the solution ( , ) satisfies 
Let and . Now plug those values into the equation 
Plug in and 
Multiply
Add
Reduce. Since this equation is true the solution works.
So the solution ( , ) satisfies 
Since the solution ( , ) satisfies the system of equations


this verifies our answer.
|
15.
| Solved by pluggable solver: Solving a linear system of equations by subsitution |
Lets start with the given system of linear equations


Now in order to solve this system by using substitution, we need to solve (or isolate) one variable. I'm going to choose y.
Solve for y for the first equation
Subtract from both sides
Divide both sides by -2.
Which breaks down and reduces to
Now we've fully isolated y
Since y equals we can substitute the expression into y of the 2nd equation. This will eliminate y so we can solve for x.
Replace y with . Since this eliminates y, we can now solve for x.
Distribute 4 to 
Multiply
Reduce any fractions
Add to both sides
Combine the terms on the right side
Now combine the terms on the left side.
Multiply both sides by . This will cancel out and isolate x
So when we multiply and (and simplify) we get
<---------------------------------One answer
Now that we know that , lets substitute that in for x to solve for y
Plug in into the 2nd equation
Multiply
Subtract from both sides
Combine the terms on the right side
Multiply both sides by . This will cancel out 4 on the left side.
Multiply the terms on the right side
Reduce
So this is the other answer
<---------------------------------Other answer
So our solution is
and 
which can also look like
( , )
Notice if we graph the equations (if you need help with graphing, check out this solver)


we get
graph of (red) and (green) (hint: you may have to solve for y to graph these) intersecting at the blue circle.
and we can see that the two equations intersect at ( , ). This verifies our answer.
-----------------------------------------------------------------------------------------------
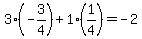
Check:
Plug in ( , ) into the system of equations
Let and . Now plug those values into the equation 
Plug in and 
Multiply
Add
Reduce. Since this equation is true the solution works.
So the solution ( , ) satisfies 
Let and . Now plug those values into the equation 
Plug in and 
Multiply
Add
Reduce. Since this equation is true the solution works.
So the solution ( , ) satisfies 
Since the solution ( , ) satisfies the system of equations


this verifies our answer.
|
16.
| Solved by pluggable solver: Solving a linear system of equations by subsitution |
Lets start with the given system of linear equations


Now in order to solve this system by using substitution, we need to solve (or isolate) one variable. I'm going to choose y.
Solve for y for the first equation
Add to both sides
Divide both sides by 1.
Which breaks down and reduces to
Now we've fully isolated y
Since y equals we can substitute the expression into y of the 2nd equation. This will eliminate y so we can solve for x.
Replace y with . Since this eliminates y, we can now solve for x.
Distribute 1 to 
Multiply
Reduce any fractions
Subtract from both sides
Combine the terms on the right side
Now combine the terms on the left side.
Multiply both sides by . This will cancel out and isolate x
So when we multiply and (and simplify) we get
<---------------------------------One answer
Now that we know that , lets substitute that in for x to solve for y
Plug in into the 2nd equation
Multiply
Add to both sides
Combine the terms on the right side
Multiply both sides by . This will cancel out 1 on the left side.
Multiply the terms on the right side
Reduce
So this is the other answer
<---------------------------------Other answer
So our solution is
and 
which can also look like
( , )
Notice if we graph the equations (if you need help with graphing, check out this solver)


we get
graph of (red) and (green) (hint: you may have to solve for y to graph these) intersecting at the blue circle.
and we can see that the two equations intersect at ( , ). This verifies our answer.
-----------------------------------------------------------------------------------------------
Check:
Plug in ( , ) into the system of equations
Let and . Now plug those values into the equation 
Plug in and 
Multiply
Add
Reduce. Since this equation is true the solution works.
So the solution ( , ) satisfies 
Let and . Now plug those values into the equation 
Plug in and 
Multiply
Add
Reduce. Since this equation is true the solution works.
So the solution ( , ) satisfies 
Since the solution ( , ) satisfies the system of equations


this verifies our answer.
|
17.
| Solved by pluggable solver: Solving a linear system of equations by subsitution |
Lets start with the given system of linear equations


Now in order to solve this system by using substitution, we need to solve (or isolate) one variable. I'm going to choose y.
Solve for y for the first equation
Add to both sides
Divide both sides by 1.
Which breaks down and reduces to
Now we've fully isolated y
Since y equals we can substitute the expression into y of the 2nd equation. This will eliminate y so we can solve for x.
Replace y with . Since this eliminates y, we can now solve for x.
Distribute 1 to 
Multiply
Reduce any fractions
Add to both sides
Combine the terms on the right side
Now combine the terms on the left side.
Multiply both sides by . This will cancel out and isolate x
So when we multiply and (and simplify) we get
<---------------------------------One answer
Now that we know that , lets substitute that in for x to solve for y
Plug in into the 2nd equation
Multiply
Subtract from both sides
Combine the terms on the right side
Multiply both sides by . This will cancel out 1 on the left side.
Multiply the terms on the right side
Reduce
So this is the other answer
<---------------------------------Other answer
So our solution is
and 
which can also look like
( , )
Notice if we graph the equations (if you need help with graphing, check out this solver)


we get
graph of (red) and (green) (hint: you may have to solve for y to graph these) intersecting at the blue circle.
and we can see that the two equations intersect at ( , ). This verifies our answer.
-----------------------------------------------------------------------------------------------
Check:
Plug in ( , ) into the system of equations
Let and . Now plug those values into the equation 
Plug in and 
Multiply
Add
Reduce. Since this equation is true the solution works.
So the solution ( , ) satisfies 
Let and . Now plug those values into the equation 
Plug in and 
Multiply
Add
Reduce. Since this equation is true the solution works.
So the solution ( , ) satisfies 
Since the solution ( , ) satisfies the system of equations


this verifies our answer.
|
18.
| Solved by pluggable solver: Solving a linear system of equations by subsitution |
Lets start with the given system of linear equations


Now in order to solve this system by using substitution, we need to solve (or isolate) one variable. I'm going to choose y.
Solve for y for the first equation
Subtract from both sides
Divide both sides by -10.
Which breaks down and reduces to
Now we've fully isolated y
Since y equals we can substitute the expression into y of the 2nd equation. This will eliminate y so we can solve for x.
Replace y with . Since this eliminates y, we can now solve for x.
Distribute -40 to 
Multiply
Reduce any fractions
Add to both sides
Combine the terms on the right side
Now combine the terms on the left side.
Multiply both sides by . This will cancel out and isolate x
So when we multiply and (and simplify) we get
<---------------------------------One answer
Now that we know that , lets substitute that in for x to solve for y
Plug in into the 2nd equation
Multiply
Add to both sides
Combine the terms on the right side
Multiply both sides by . This will cancel out -40 on the left side.
Multiply the terms on the right side
Reduce
So this is the other answer
<---------------------------------Other answer
So our solution is
and 
which can also look like
( , )
Notice if we graph the equations (if you need help with graphing, check out this solver)


we get
graph of (red) and (green) (hint: you may have to solve for y to graph these) intersecting at the blue circle.
and we can see that the two equations intersect at ( , ). This verifies our answer.
-----------------------------------------------------------------------------------------------
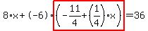
Check:
Plug in ( , ) into the system of equations
Let and . Now plug those values into the equation 
Plug in and 
Multiply
Add
Reduce. Since this equation is true the solution works.
So the solution ( , ) satisfies 
Let and . Now plug those values into the equation 
Plug in and 
Multiply
Add
Reduce. Since this equation is true the solution works.
So the solution ( , ) satisfies 
Since the solution ( , ) satisfies the system of equations


this verifies our answer.
|
19.
| Solved by pluggable solver: Solving a linear system of equations by subsitution |
Lets start with the given system of linear equations


Now in order to solve this system by using substitution, we need to solve (or isolate) one variable. I'm going to choose y.
Solve for y for the first equation
Subtract from both sides
Divide both sides by -11.
Which breaks down and reduces to
Now we've fully isolated y
Since y equals we can substitute the expression into y of the 2nd equation. This will eliminate y so we can solve for x.
Replace y with . Since this eliminates y, we can now solve for x.
Distribute -11 to 
Multiply
Reduce any fractions
Subtract from both sides
Combine the terms on the right side
Now combine the terms on the left side.
Multiply both sides by . This will cancel out and isolate x
So when we multiply and (and simplify) we get
<---------------------------------One answer
Now that we know that , lets substitute that in for x to solve for y
Plug in into the 2nd equation
Multiply
Add to both sides
Combine the terms on the right side
Multiply both sides by . This will cancel out -11 on the left side.
Multiply the terms on the right side
Reduce
So this is the other answer
<---------------------------------Other answer
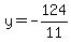
So our solution is
and 
which can also look like
( , )
Notice if we graph the equations (if you need help with graphing, check out this solver)


we get
graph of (red) and (green) (hint: you may have to solve for y to graph these) intersecting at the blue circle.
and we can see that the two equations intersect at ( , ). This verifies our answer.
-----------------------------------------------------------------------------------------------
Check:
Plug in ( , ) into the system of equations
Let and . Now plug those values into the equation 
Plug in and 
Multiply
Add
Reduce. Since this equation is true the solution works.
So the solution ( , ) satisfies 
Let and . Now plug those values into the equation 
Plug in and 
Multiply
Add
Reduce. Since this equation is true the solution works.
So the solution ( , ) satisfies 
Since the solution ( , ) satisfies the system of equations


this verifies our answer.
|
20.
| Solved by pluggable solver: Solving a linear system of equations by subsitution |
Lets start with the given system of linear equations


Now in order to solve this system by using substitution, we need to solve (or isolate) one variable. I'm going to choose y.
Solve for y for the first equation
Subtract from both sides
Divide both sides by -4.
Which breaks down and reduces to
Now we've fully isolated y
Since y equals we can substitute the expression into y of the 2nd equation. This will eliminate y so we can solve for x.
Replace y with . Since this eliminates y, we can now solve for x.
Distribute -6 to 
Multiply
Reduce any fractions
Subtract from both sides
Make 36 into a fraction with a denominator of 2
Combine the terms on the right side
Make 8 into a fraction with a denominator of 2
Now combine the terms on the left side.
Multiply both sides by . This will cancel out and isolate x
So when we multiply and (and simplify) we get
<---------------------------------One answer
Now that we know that , lets substitute that in for x to solve for y
Plug in into the 2nd equation
Multiply
Subtract from both sides
Combine the terms on the right side
Multiply both sides by . This will cancel out -6 on the left side.
Multiply the terms on the right side
Reduce
So this is the other answer
<---------------------------------Other answer
So our solution is
and 
which can also look like
( , )
Notice if we graph the equations (if you need help with graphing, check out this solver)


we get
graph of (red) and (green) (hint: you may have to solve for y to graph these) intersecting at the blue circle.
and we can see that the two equations intersect at ( , ). This verifies our answer.
-----------------------------------------------------------------------------------------------
Check:
Plug in ( , ) into the system of equations
Let and . Now plug those values into the equation 
Plug in and 
Multiply
Add
Reduce. Since this equation is true the solution works.
So the solution ( , ) satisfies 
Let and . Now plug those values into the equation 
Plug in and 
Multiply
Add
Reduce. Since this equation is true the solution works.
So the solution ( , ) satisfies 
Since the solution ( , ) satisfies the system of equations


this verifies our answer.
|
|
|
|