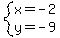
SOLUTION: How do I solve this with the substitution method? y=4x-1 y=2x-5
Algebra
->
Systems-of-equations
-> SOLUTION: How do I solve this with the substitution method? y=4x-1 y=2x-5
Log On
Algebra: Systems of equations that are not linear
Section
Solvers
Solvers
Lessons
Lessons
Answers archive
Answers
Click here to see ALL problems on Systems-of-equations
Question 1009428
:
How do I solve this with the substitution method?
y=4x-1
y=2x-5
Answer by
josgarithmetic(39620)
(
Show Source
):
You can
put this solution on YOUR website!
Two formulas for y....? So .....?
You might try substituting for y.