SOLUTION: I just really need to know the answer quick similar triangles The triangles are similar. The area of the larger triangle is 270 square centimeters. What is the are

Algebra ->  Surface-area -> SOLUTION: I just really need to know the answer quick similar triangles The triangles are similar. The area of the larger triangle is 270 square centimeters. What is the are      Log On


   



Question 873938:
I just really need to know the answer quick
similar triangles
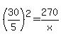
The triangles are similar. The area of the larger triangle is 270 square centimeters. What is the area of the smaller triangle?



A.

9 cm2


B.

12.5 cm2


C.

45 cm2


D.

7.5 cm2

Answer by jim_thompson5910(35256) About Me  (Show Source):
You can put this solution on YOUR website!
Solve for x to get your answer


%2830%2F5%29%5E2+=+270%2Fx