SOLUTION: find the area of the surface generated by revolving the curve: {{{2*sqrt(x + 7)}}}: Q1 - find arclength element ds, of the curve being rotated, where s represents the curve's ar

Algebra ->  Surface-area -> SOLUTION: find the area of the surface generated by revolving the curve: {{{2*sqrt(x + 7)}}}: Q1 - find arclength element ds, of the curve being rotated, where s represents the curve's ar      Log On


   



Question 871062: find the area of the surface generated by revolving the curve: 2%2Asqrt%28x+%2B+7%29:
Q1 - find arclength element ds, of the curve being rotated, where s represents the curve's arclength = sqrt%281%2B%281%2F%28sqrt%28x%2B7%29%29%29%5E2%29%2Adx
Q2 - rotate the arc-length element ds around the x axis to produce an area element dA (in terms of x and dx)???
Q1 is correct however i am completely stumped working out Q2
All help will be greatly appreciated


Answer by Fombitz(32388) About Me  (Show Source):
You can put this solution on YOUR website!
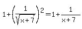
Q1 is correct but you can simplify a bit.
1%2B%281%2Fsqrt%28x%2B7%29%29%5E2=1%2B1%2F%28x%2B7%29
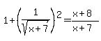
1%2B%281%2Fsqrt%28x%2B7%29%29%5E2=%28x%2B7%29%2F%28x%2B7%29%2B1%2F%28x%2B7%29
1%2B%281%2Fsqrt%28x%2B7%29%29%5E2=%28x%2B8%29%2F%28x%2B7%29
so then,
ds=sqrt%28%28x%2B8%29%2F%28x%2B7%29%29dx
So then the area is,

dA=2%2Api%2Ay%2Ads=4%2Api%2Asqrt%28x%2B8%29dx