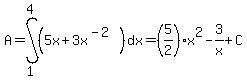
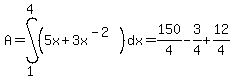
SOLUTION: Find the area under the curve below from x = 1 to x = 4. y = 5x + (3/x2)
Algebra
->
Surface-area
-> SOLUTION: Find the area under the curve below from x = 1 to x = 4. y = 5x + (3/x2)
Log On
Geometry: Area and Surface Area
Geometry
Solvers
Solvers
Lessons
Lessons
Answers archive
Answers
Click here to see ALL problems on Surface-area
Question 368786
:
Find the area under the curve below from x = 1 to x = 4.
y = 5x + (3/x2)
Answer by
Fombitz(32388)
(
Show Source
):
You can
put this solution on YOUR website!